网罗天下图书 传承中华文明
     
为读者找书,为书找读者.... 本馆宗旨--传承中华文化!
 
联系QQ:75689990, 联系QQ:83790508 联系微信:k77815100,联系微信:zx135cn
 
| 网站首页 | 史料文献 | 提取史料 | 常用软件 | 联系我们 |
 
 

集部辑佚文献汇编

 

介绍


集部辑佚文献汇编(全100册)

资料编号:KW6901

文件格式:pdf

文件大小:27.1G

作者:翟金明

出版社:国家图书馆

出版时间:2018

本书是《历代辑佚文献分类汇编丛刊》之一。国家十二五重点图书规划项目。本书第一次将历代的集部散佚文献,从诸多后代辑佚丛刊中辑选出来,按照别集、诗文评的分类整理成书,在这一大的分类下又按照朝代顺序划分。对于研究两汉以来的文学,提供了更为集中的辑佚资料。
在历史上,人们对集部文献的关注相较于经、史、子部,显得稍为逊色。分析其原因,可能在于随着儒家经典权威地位的确立,史部可资鉴戒,子部可与经部、史部“旁参”,而集部多与儒家经典关系不密切,故并不受正统学者的重视。但是,集部文献作为中国古代文献的重要组成部分,包含着丰富的资料与多样的文体,需要我们进一步发掘和利用。
秦以前,虽有《诗》及屈原、宋玉、荀子等人的作品可视为集部文献,但先秦时期,六艺盛行,诸子争鸣,时人并不以文章著称于世,故虽有集部之实,然作品较少。汉魏六朝时期是中国古代文学发展的重要阶段,在文学观念、体裁、理论等方面均具有自己的特色,并且对后世产生了深远影响,个人文集在这一时期大量涌现,是集部文献滥觞、形成与发展的重要阶段。唐代以后,集部文献数量众多,文体更为丰富,已经成为出版和学术领域整理、研究的重点。相比于对先秦及唐以后集部文献的关注程度,目前出版和学术领域对汉魏六朝时期集部文献的重视并不够充分,且大多集中于《文选》《文心雕龙》及“二陆”、陶渊明、“三谢”“建安七子”等重要文献和重要作者。与其他古代文献一样,集部文献的散佚情况也比较严重。然而,由于明清学人的努力,也有大量佚籍被重新辑出。从总体上来看,明清学者对集部文献的辑佚成果,以汉魏六朝时期最为丰富,兼有宋玉、荀子等先秦佚文。因此,本丛刊侧重于收录先秦和汉魏六朝时期的集部辑佚文献,以期有益于学者的相关研究和利用。

在充分利用前人丰富辑佚成果的基础上,本书依据《四库全书》的排序方式,参考孙启治、陈建华二位先生《古佚书辑本目录(附考证)》的搜辑成果,将自宋代以来特别是明清文人学者辑佚整理的先秦及汉魏六朝时期的别集、诗文评文献汇编为一帙,努力做到有章可循,搜辑力求完备。同时,对所据文献底本仅作搜辑分类,影印出版,并制作书目索引,既保持了文献的文本原貌,又便于翻检使用,极大地方便读者检索查阅,可以为我们研究先秦汉魏六朝的历史、文学、语言、哲学等提供丰富的资料。

翟金明,1982年生,山东淄博人。2007年,毕业于北京师范大学历史系,获明清史硕士学位。现为中国社会科学院历史所在读博士。主持编纂《明代通俗日用类书集刊》《和刻本四部丛刊》《传世汉文琉球文献辑稿》(第2辑),参与整理《高丽史》《妈祖文献整理与研究丛刊》等古籍项目。整理点校《云自在龛随笔》。并发表论文数篇。
目录

001
前言
凡例
字头笔画索引
书名笔画索引

荀卿(周)荀况撰 (清)严可均辑
宋大夫集三卷附录一卷()宋玉撰(明)张燮辑
宋玉文抄一卷(周)宋玉撰(明)李宾辑
宋玉(周)宋玉撰(清)严可均辑
汉(一)
贾长沙集三卷附录一卷(汉)贾谊撰(明)张燮辑
贾长沙集(汉)贾谊撰(明)叶绍泰辑
贾谊(汉)贾谊撰(清)严可均辑
贾太傅文一卷(汉)贾谊撰(清)夏献云校
晁错(汉)晁错撰(清)严可均辑
枚乘(汉)枚乘撰(清)严可均辑
枚叔集一卷(汉)枚乘撰(清)丁晏辑 段朝端校
002
汉(二)
枚叔集一卷(汉)枚乘撰
枚乘(汉)枚乘撰 丁福保辑
淮南王安(汉)刘安撰(明)冯惟讷辑
淮南王安(汉)刘安撰(清)严可均辑
淮南王安(汉)刘安撰 丁福保辑
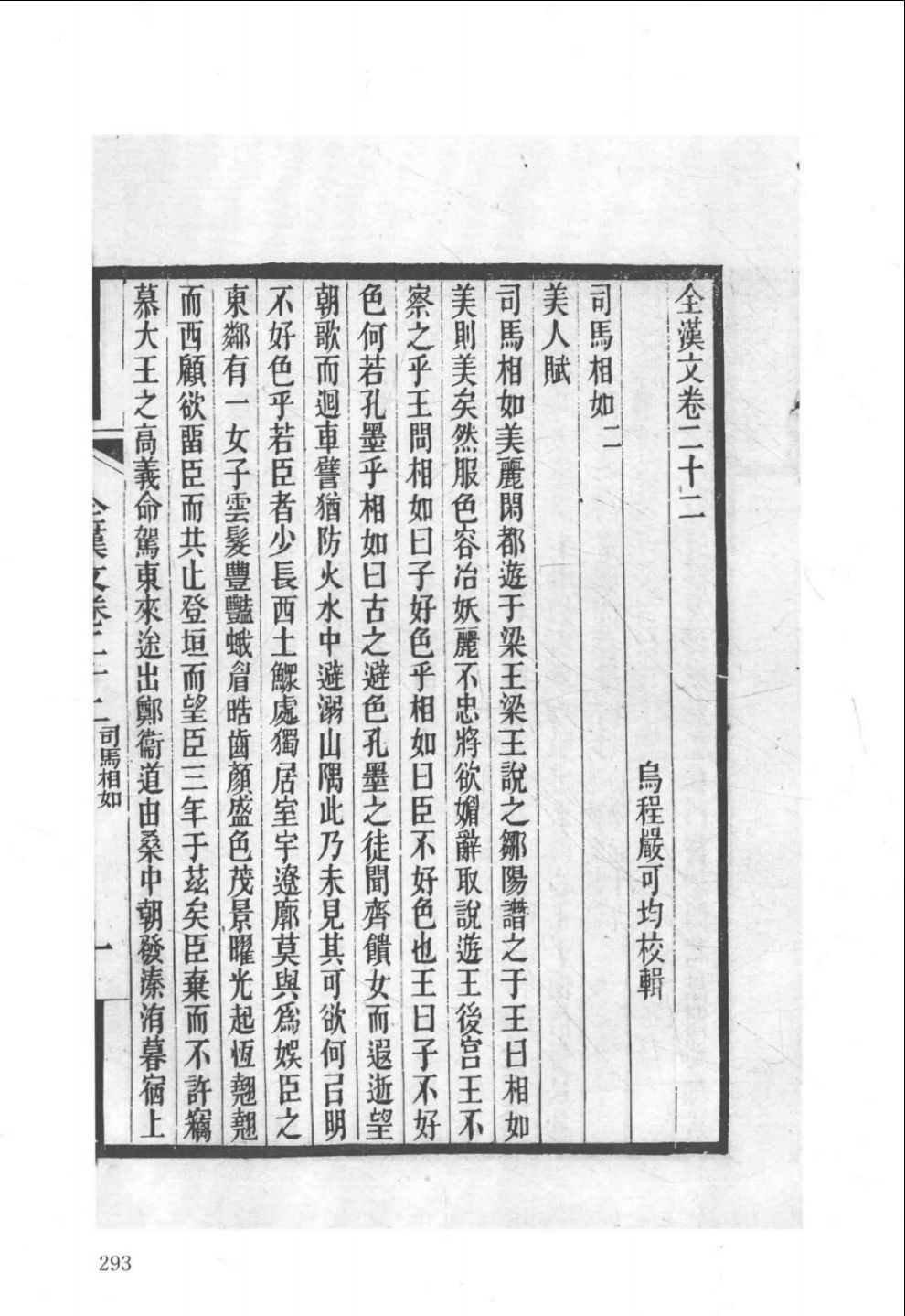
司马相如(汉)司马相如撰(明)冯惟讷辑
司马长卿集一卷(汉)司马相如撰
司马文园集二卷附录一卷(汉)司马相如撰(明)张燮辑
司马长卿文抄一卷(汉)司马相如撰(明)李宾辑
司马相如(汉)司马相如撰(清)严可均辑
司马长卿集二卷(汉)司马相如撰
司马相如(汉)司马相如撰 丁福保辑
孔臧(汉)孔臧撰(清)严可均辑
董仲舒集一卷(汉)董仲舒撰
董胶西集二卷附录一卷(汉)董仲舒撰(明)张燮辑
董子文集一卷(汉)董仲舒撰
董胶西集(汉)董仲舒撰(明)叶绍泰辑
003
汉(三)
董仲舒文抄一卷(汉)董仲舒撰(明)李宾辑
董仲舒(汉)董仲舒撰(清)严可均辑
东方朔(汉)东方朔撰(明)冯惟讷辑
东方先生集一卷(汉)东方朔撰
东方大中集二卷附录一卷(汉)东方朔撰(明)张燮辑
东方曼倩文抄一卷(汉)东方朔撰(明)李宾辑
东方朔(汉)东方朔撰(清)严可均辑
东方朔(汉)东方朔撰 丁福保辑
武帝(汉)武帝刘彻撰(明)冯惟讷辑
武帝(汉)武帝刘彻撰(清)严可均辑
武帝(汉)武帝刘彻撰 丁福保辑
司马迁(汉)司马迁撰(清)严可均辑
司马子长集一卷(汉)司马迁撰
李陵(汉)李陵撰(明)冯惟讷辑
李陵(汉)李陵撰(清)严可均辑
李陵(汉)李陵撰 丁福保辑
王谏议集二卷附录一卷(汉)王褒撰(明)张燮辑
王褒(汉)王褒撰(清)严可均辑
004
汉(四)
魏相(汉)魏相撰(清)严可均辑
张敞(汉)张敞撰(清)严可均辑
韦玄成(汉)韦玄成撰(明)冯惟讷辑
韦玄成(汉)韦玄成撰(清)严可均辑
韦玄成(汉)韦玄成撰 丁福保辑
班婕妤(汉)班婕妤撰(明)冯惟讷辑
班婕妤(汉)班婕妤撰(清)严可均辑
班婕妤(汉)班婕妤撰 丁福保辑
谷永(汉)谷永撰(清)严可均辑
刘子政集(汉)刘向撰(明)叶绍泰辑
刘向(汉)刘向撰(清)严可均辑
陈汤(汉)陈汤撰(清)严可均辑
李寻(汉)李寻撰(清)严可均辑
息夫躬(汉)息夫躬撰(明)冯惟讷辑
息夫躬(汉)息夫躬撰(清)严可均辑
杜邺(汉)杜邺撰(清)严可均辑
唐林(汉)唐林撰(清)严可均辑
师丹(汉)师丹撰(清)严可均辑
扬子云集六卷(卷一-三)(汉)扬雄撰(明)郑朴辑
005
汉(五)
扬子云集六卷(卷四-六)(汉)扬雄撰(明)郑朴辑
扬子云集三卷(汉)扬雄撰
扬侍郎集五卷附录一卷(汉)扬雄撰(明)张燮辑
扬侍郎集(汉)扬雄撰(明)叶绍泰辑
扬子云文抄一卷(汉)扬雄撰(明)李宾辑
006
汉(六)
扬雄(汉)扬雄撰(清)严可均辑
扬子云集四卷(汉)扬雄撰
刘子骏集(汉)刘歆撰(明)叶绍泰辑
刘歆(汉)刘歆撰(清)严可均辑
崔篆(汉)崔篆撰(清)严可均辑
桓谭(汉)桓谭撰(清)严可均辑
朱勃(汉)朱勃撰(清)严可均辑
陈元(汉)陈元撰(清)严可均辑
冯曲阳集二卷附录一卷(汉)冯衍撰(明)张燮辑
冯衍(汉)冯衍撰(清)严可均辑
冯曲阳集一卷(汉)冯衍撰 张鹏一校补
班彪(汉)班彪撰(清)严可均辑
叔皮集一卷(汉)班彪撰 张鹏一辑
杜笃(汉)杜笃撰(清)严可均辑
东平宪王苍(汉)刘苍撰(明)冯惟讷辑
东平王苍(汉)刘苍撰(清)严可均辑
东平宪王苍(汉)刘苍撰 丁福保辑
傅毅(汉)傅毅撰(明)冯惟讷辑
傅毅(汉)傅毅撰(清)严可均辑
傅毅(汉)傅毅撰 丁福保辑
傅司马集一卷(汉)傅毅撰 张鹏一辑
007
汉(七)
班固(汉)班固撰(明)冯惟讷辑
班兰台集四卷附录一卷(汉)班固撰(明)张变辑
班兰台集(汉)班固撰(明)叶绍泰辑
班孟坚文抄一卷(汉)班固撰(明)李宾辑
班固(汉)班固撰(清)严可均辑
班孟坚集三卷(汉)班固撰
班固(汉)班固撰 丁福保辑
兰台集一卷(汉)班固撰 张鹏一校补
崔骃(汉)崔骃撰(明)冯惟讷辑
崔亭伯集(汉)崔骃撰(明)叶绍泰辑
崔骃(汉)崔骃撰(清)严可均辑
崔骃(汉)崔骃撰 丁福保辑
班昭(汉)班昭撰(清)严可均辑
曹大家集一卷(汉)班昭撰 张鹏一辑
贾逵(汉)贾逵撰(清)严可均辑
刘騊駼(汉)刘騊駼撰(清)严可均辑
葛龚(汉)葛龚撰(清)严可均辑
苏顺(汉)苏顺撰(清)严可均辑
黄香(汉)黄香撰(清)严可均辑
刘珍(汉)刘珍撰(清)严可均辑
008
汉(八)
王逸(汉)王逸撰(明)冯惟讷辑
王逸(汉)王逸撰(清)严可均辑
王叔师集一卷(汉)王逸撰
王逸(汉)王逸撰 丁福保辑
李尤(汉)李尤撰(明)冯惟讷辑
李尤(汉)李尤撰(清)严可均辑
李尤(汉)李尤撰 丁福保辑
张衡(汉)张衡撰(明)冯惟讷辑
张河间集六卷附录一卷(汉)张衡撰(明)张燮辑
张河间集(汉)张衡撰(明)叶绍泰辑
张衡(汉)张衡撰(清)严可均辑
张衡(汉)张衡撰 丁福保辑
荀侍中集(汉)荀悦撰(明)叶绍泰辑
荀悦(汉)荀悦撰(清)严可均辑
崔琦(汉)崔琦撰(清)严可均辑
崔瑗(汉)崔瑗撰(清)严可均辑
张纲(汉)张纲撰(清)严可均辑
窦章(汉)窦章撰(清)严可均辑
李固(汉)李固撰(清)严可均辑
王延寿(汉)王延寿撰(清)严可均辑
桓麟(汉)桓麟撰(明)冯惟讷辑
桓麟(汉)桓麟撰(清)严可均辑
桓麟(汉)桓麟撰 丁福保辑
崔寔(汉)崔寔撰(清)严可均辑
边韶(汉)边韶撰(清)严可均辑
张升(汉)张升撰(清)严可均辑
侯瑾(汉)侯瑾撰(清)严可均辑
秦嘉(汉)秦嘉撰(明)冯惟讷辑
秦嘉(汉)秦嘉撰(清)严可均辑
秦嘉(汉)秦嘉撰 丁福保辑
009
汉(九)
徐淑(汉)徐淑撰(明)冯惟讷辑
徐淑(汉)徐淑撰(清)严可均辑
徐淑(汉)徐淑撰 丁福保辑
朱穆(汉)朱穆撰(明)冯惟讷辑
朱穆(汉)朱穆撰(清)严可均辑
朱穆(汉)朱穆撰 丁福保辑
马融(汉)马融撰(清)严可均辑
延笃(汉)延笃撰(清)严可均辑
胡广(汉)胡广撰(清)严可均辑
皇甫规(汉)皇甫规撰(清)严可均辑
皇甫司农集一卷(汉)皇甫规撰(清)张澍辑
郦炎(汉)郦炎撰(明)冯惟讷辑
郦炎(汉)郦炎撰(清)严可均辑
郦炎(汉)郦炎撰 丁福保辑
刘陶(汉)刘陶撰(清)严可均辑
刘梁(汉)刘梁撰(清)严可均辑
张超(汉)张超撰(清)严可均辑
张奂(汉)张奂撰(清)严可均辑
张太常集一卷(汉)张奂撰(清)张澍辑
高彪(汉)高彪撰(明)冯惟讷辑
高彪(汉)高彪撰(清)严可均辑
赵一(汉)赵一撰(明)冯惟讷辑
赵一(汉)赵一撰(清)严可均辑
赵一(汉)赵一撰 丁福保辑
赵计吏集一卷(汉)赵一撰 张鹏一辑
荀爽(汉)荀爽撰(清)严可均辑
卢子干逸文(汉)卢植撰(清)臧琳辑
卢植(汉)卢植撰(清)严可均辑
廉品(汉)廉品撰(清)严可均辑
新刊蔡中郎文集十卷外传一卷(汉)蔡邕撰
蔡邕(汉)蔡邕撰(明)冯惟讷辑
010
汉(十)
蔡中郎集八卷(汉)蔡邕撰
蔡中良集十二卷附录一卷(卷一-七)(汉)蔡邕撰(明)张燮辑
011
汉(十一)
蔡中郎集十二卷附录一卷(卷八-十二 附录)(汉)蔡邕撰(明)张燮辑
蔡中郎集(汉)蔡邕撰(明)叶绍泰辑
蔡中郎文抄一卷(汉)蔡邕撰(明)李宾辑
蔡中郎文集八卷外传一卷(汉)蔡邕撰 徐鸿宝校
012
汉(十二)
蔡邕(汉)蔡邕撰(清)严可均辑
蔡中郎集十九卷(汉)蔡邕撰
013
汉(十三)
蔡中郎集十卷外纪一卷外集四卷列传一卷年表一卷(汉)蔡邕撰(清)高均儒校
014
汉(十四)
校蔡中郎文集疏证十卷外集疏证一卷蔡中郎文集补一卷(清)吴志忠撰并辑
蔡中郎文集十卷外传一卷(卷一-五)(汉)蔡邕撰
015
汉(十五)
蔡中郎文集十卷外传一卷(卷六-十 外传)(汉)蔡邕撰
蔡中郎文集十二卷(汉)蔡邕撰
蔡邕(汉)蔡邕撰 丁福保辑
士孙瑞(汉)士孙瑞撰(清)严可均辑
应劭(汉)应劭撰(清)严可均辑
郑司农集一卷(汉)郑玄撰
郑玄(汉)郑玄撰(清)严可均辑
郑康成集一卷(汉)郑玄撰
孔融(汉)孔融撰(明)冯惟讷辑
孔少府集二卷附录一卷(汉)孔融撰(明)张燮辑
孔少府集(汉)孔融撰(明)叶绍泰辑
孔融(汉)孔融撰(清)严可均辑
孔北海集一卷(汉)孔融撰
孔文举集一卷(汉)孔融撰
孔融(汉)孔融撰 丁福保辑
016
汉(十六)
张纮(汉)张纮撰(清)严可均辑
阮瑀(汉)阮瑀撰(明)冯惟讷辑
阮元瑜集(汉)阮瑀撰(明)叶绍泰辑
阮元瑜集二卷(汉)阮瑀撰(明)杨德周辑(清)陈朝辅增订
阮瑀(汉)阮瑀撰(清)严可均辑
阮元瑜集一卷(汉)阮瑀撰
阮瑀(汉)阮瑀撰 丁福保辑
路粹(汉)路粹撰(清)严可均辑
潘勖(汉)潘勖撰(清)严可均辑
杨修(汉)杨修撰(清)严可均辑
王粲(汉)王粲撰(明)冯惟讷辑
王侍中集三卷附绿一卷(汉)王粲撰(明)张燮辑
王侍中集(汉)王粲撰(明)叶绍泰辑
王仲宣集四卷(汉)王粲撰(明)杨德周辑(清)陈朝辅增订
王仲宣文抄一卷(汉)王粲撰(明)李宾辑
王粲(汉)王粲撰(清)严可均辑
王仲宣集三卷(汉)王粲撰
王粲(汉)王粲撰 丁福保辑
应瑒(汉)应瑒撰(明)冯惟讷辑
应德琏集二卷(汉)应瑒撰(明)杨德周辑(清)陈朝辅增订
应瑒(汉)应瑒撰(清)严可均辑
应德琏集一卷(汉)应瑒撰
应瑒(汉)应瑒撰 丁福保辑
017
汉(十七)
陈琳(汉)陈琳撰(明)冯惟讷辑
陈记室集集二卷附录一卷(汉)陈琳撰(明)张燮辑
陈记室集(汉)陈琳撰(明)叶绍泰辑
陈孔璋集二卷(汉)陈琳撰(明)杨德周辑(清)陈朝辅增订
陈琳(汉)陈琳撰(清)严可均辑
陈孔璋集一卷(汉)陈琳撰(清)丁晏辑 段朝端补
陈孔璋集一卷(汉)陈琳撰
陈琳(汉)陈琳撰 丁福保辑
刘桢(汉)刘桢撰(明)冯惟讷辑
刘公干集二卷(汉)刘桢撰(明)杨德周辑(清)陈朝辅增订
刘桢(汉)刘桢撰(清)严可均辑
刘公干集一卷(汉)刘桢撰
刘桢(汉)刘桢撰 丁福保辑
徐干(汉)徐干撰(明)冯惟讷辑
徐伟长集六卷(汉)徐干撰(明)杨德周辑(清)陈朝辅增订
徐干(汉)徐干撰(清)严可均辑
徐伟长集一卷(汉)徐干撰
徐干(汉)徐干撰 丁福保辑
繁钦(汉)繁钦撰(明)冯惟讷辑
繁钦(汉)繁钦撰(清)严可均辑
繁钦(汉)繁钦撰 丁福保辑
018
汉(十八)
襧衡(汉)襧衡撰(清)严可均辑
傅干(汉)傅干撰(清)严可均辑
傅干佚文(汉)傅干撰 张鹏一辑
曹操(汉)曹操撰(明)冯惟讷辑
魏武帝集五卷附录一卷(汉)曹操撰(明)张燮辑
魏武帝集(汉)曹操撰(明)叶绍泰辑
魏武帝文抄一卷(汉)曹操撰(明)李宾辑
武帝(汉)曹操撰(清)严可均辑
魏武帝集四卷(汉)曹操撰
曹操(汉)曹操撰 丁福保辑
蔡琰(汉)蔡琰撰(明)冯惟讷辑
蔡琰(汉)蔡琰撰 丁福保辑
丁仪(汉)丁仪撰(清)严可均辑
丁廙(汉)丁廙撰(清)严可均辑
梁鸿(汉)梁鸿撰(明)冯惟讷辑
梁鸿(汉)梁鸿撰(清)严可均辑
梁鸿(汉)梁鸿撰 丁福保辑
019
三国(一)
袁涣(三国魏)袁涣撰(清)严可均辑
王修(三国魏)王修撰(清)严可均辑
刘廙(三国魏)刘廙撰(清)严可均辑
文帝(三国魏)文帝曹丕撰(明)冯惟讷辑
魏文帝集十卷附录一卷(三国魏)文帝曹丕撰(明)张燮辑
魏文帝集(三国魏)文帝曹丕撰(明)叶绍泰辑
魏文帝文抄一卷(三国魏)文帝曹丕撰(明)李宾辑
文帝(三国魏)文帝曹丕撰(清)严可均辑
020
三国(二)
魏文帝集六卷(三国魏)文帝曹丕撰
文帝(三国魏)文帝曹丕撰 丁福保辑
傅巽(三国魏)傅巽撰(清)严可均辑
傅巽佚文(三国魏)傅巽撰 张鹏一辑
殷褒(三国魏)殷褒撰(清)严可均辑
邯郸淳(三国魏)邯郸淳撰(明)冯惟讷辑
邯郸淳(三国魏)邯郸淳撰(清)严可均辑
邯郸淳(三国魏)邯郸淳撰 丁福保辑
王象(三国魏)王象撰(清)严可均辑
王朗(三国魏)王朗撰(清)严可均辑
锺毓(三国魏)锺毓撰(清)严可均辑
吴质(三国魏)吴质撰(明)冯惟讷辑
吴质(三国魏)吴质撰(清)严可均辑
吴质(三国魏)吴质撰 丁福保辑
华歆(三国魏)华歆撰(清)严可均辑
曹子建文集十卷(三国魏)曹植撰
021
三国(三)
曹子建集十卷(三国魏)曹植撰
曹子建集十卷疑字音释一卷(三国魏)曹植撰
022
三国(四)
陈思王集十卷(三国魏)曹植撰
陈思王集十卷(三国魏)曹植撰
陈思王集十卷附录一卷(卷一-二)(三国魏)曹植撰
023
三国(五)
陈思王集十卷附录一卷(卷三-十附录)(三国魏)曹植撰
陈思王集四卷(三国魏)曹植撰
陈思王植(三国魏)曹植撰(明)冯惟讷辑
曹子建集(三国魏)曹植撰
陈思王集(三国魏)曹植撰(明)叶绍泰辑
024
三国(六)
曹子建文抄一卷(三国魏)曹植撰(明)李宾辑
魏曹子建集二卷(三国魏)曹植撰(清)卓尔堪等辑
陈王植(三国魏)曹植撰(清)严可均辑
曹子建集十卷叙录一卷年谱一卷补遗一卷(卷一-六)(三国魏)曹植撰(清)朱绪曾辑
025
三国(七)
曹子建集十卷叙录一卷年谱一卷补遗一卷(卷七-十 叙录 年谱 补遗)(三国魏)曹植撰(清)
朱绪曾辑
曹集铨评十卷逸文一卷年谱一卷附录一卷(卷一-四)(清)丁晏撰
026
三国(八)
曹集铨评十卷逸文一卷年谱一卷附录一卷(卷五-十 逸文 年谱 附录)(清)丁晏撰
陈思王植 曹植撰 丁福保辑
曹子建诗笺二卷 古直撰
曹子建诗笺定本四卷 古直撰
027
三国(九)
陈群(三国魏)陈群撰(清)严可均辑
明帝(三国魏)明帝曹叡撰(明)冯惟讷辑
明帝(三国魏)明帝曹叡撰(清)严可均辑
明帝(三国魏)明帝曹叡撰 丁福保辑
高堂隆(三国魏)高堂隆撰(清)严可均辑
杜挚(三国魏)杜挚撰(明)冯惟讷辑
杜挚(三国魏)杜挚撰(清)严可均辑
杜挚(三国魏)杜挚撰 丁福保辑
李康(三国魏)李康撰(清)严可均辑
管宁(三国魏)管宁撰(清)严可均辑
刘劭(三国魏)刘劭撰(清)严可均辑
缪袭(三国魏)缪袭撰(明)冯惟讷辑
缪袭(三国魏)缪袭撰(清)严可均辑
缪袭(三国魏)缪袭撰 丁福保辑
夏侯惠(三国魏)夏侯惠撰(清)严可均辑
桓范(三国魏)桓范撰(清)严可均辑
曹羲(三国魏)曹羲撰(清)严可均辑
王弼(三国魏)王弼撰(清)严可均辑
司马懿(三国魏)司马懿撰(明)冯惟讷辑
宣帝(三国魏)司马懿撰(清)严可均辑
司马懿(三国魏)司马懿撰 丁福保辑
何晏(三国魏)何晏撰(明)冯惟讷辑
何晏(三国魏)何晏撰(清)严可均辑
何晏(三国魏)何晏撰 丁福保辑
韦诞(三国魏)韦诞撰(清)严可均辑
麋元(三国魏)麋元撰(清)岩可均辑
卞兰(三国魏)卞兰撰(清)严可均辑
应璩(三国魏)应璩撰(明)冯惟讷辑
应休琏集(三国魏)应璩撰(明)叶绍泰辑
应璩(三国魏)应璩撰(清)严可均辑
应璩(三国魏)应璩撰 丁福保辑
应瑗(三国魏)应瑗撰(明)冯惟讷辑
应瑗(三国魏)应瑗撰(清)严可均辑
应瑷(三国魏)应瑗撰 丁福保辑
夏侯玄(三国魏)夏侯玄撰(清)严可均辑
程晓(三国魏)程晓撰(明)冯惟讷辑
程晓(三国魏)程晓撰(清)严可均辑
程晓(三国魏)程晓撰 丁福保辑
傅嘏(三国魏)傅嘏撰(清)严可均辑
傅嘏佚文(三国魏)傅嘏撰 张鹏一辑
毋丘俭(三国魏)毋丘俭撰(明)冯惟讷辑
毋丘俭(三国魏)毋丘俭撰(清)严可均辑
毋丘俭(三国魏)毋丘俭撰 丁福保辑
王肃(三国魏)王肃撰(清)严可均辑
王昶(三国魏)王昶撰(清)严可均辑
高贵乡公(三国魏)曹髦撰(清)严可均辑
孙该(三国魏)孙该撰(清)严可均辑
嵇中散集十卷(卷一-四)(三国魏)嵇康撰
028
三国(十)
嵇中散集十卷(卷五-十)(三国魏)嵇康撰
嵇中散集十卷(三国魏)嵇康撰(明)黄省曾辑
嵇中散集十卷(三国魏)嵇康撰(明)黄省曾辑
嵇中散集十卷(卷一-二)(三国魏)嵇康撰
029
三国(十一)
嵇中散集十卷(卷三-十)(三国魏)嵇康撰
嵇中散集一卷(三国魏)嵇康撰
嵇康(三国魏)嵇康撰(明)冯惟讷辑
嵇中散集(三国魏)嵇康撰
嵇中散集六卷附录一卷(三国魏)嵇康撰(明)张燮辑
嵇中散集(三国魏)嵇康撰
嵇中散集(三国魏)嵇康撰(明)叶绍泰辑
030
三国(十二)
嵇叔夜文抄一卷(三国魏)嵇康撰(明)李宾辑
嵇康(三国魏)(清)严可均辑
嵇中散集九卷(三国魏)嵇康撰
嵇中散集佚文一卷(三国魏)嵇康撰(清)王仁俊辑
嵇叔夜集七卷(三国魏)嵇康撰
嵇康(三国魏)嵇康撰 丁福保辑
吕安(三国魏)吕安撰(清)严可均辑
阮嗣宗集二卷(三国魏)阮籍撰
031
三国(十三)
阮嗣宗集四卷(三国魏)阮籍撰
阮嗣宗集三卷(三国魏)阮籍撰
阮籍(三国魏)阮籍撰(明)冯惟讷辑
阮步兵集五卷附录一卷(三国魏)阮籍撰(明)张燮辑
阮嗣宗集二卷(三国魏)阮籍撰
032
三国(十四)
阮嗣宗集(三国魏)阮籍撰
阮步兵集(三国魏)阮籍撰(明)叶绍泰辑
阮嗣宗集二卷(三国魏)阮籍撰
阮嗣宗文抄一卷(三国魏)阮籍撰(明)李宾辑
嗣宗咏怀诗注四卷(清)蒋师爚撰
阮籍(三国魏)阮籍撰(清)严可均辑
阮嗣宗集四卷(三国魏)阮籍撰
033
三国(十五)
阮籍(三国魏)阮籍撰 丁福保辑
阮嗣宗咏怀诗笺定本一卷 古直撰
锺会(三国魏)锺会撰(清)严可均辑
文帝(三国魏)司马昭撰(清)严可均辑
许靖(三国蜀)许靖撰(清)严可均辑
孟达(三国蜀)孟达撰(清)严可均辑
蜀丞相诸葛亮文集六卷存三卷(三国蜀)诸葛亮撰
蜀丞相诸葛孔明文集六卷(三国蜀)诸葛亮撰
诸葛亮(三国蜀)诸葛亮撰(明)冯惟讷辑
诸葛丞相集二卷附录一卷(三国蜀)诸葛亮撰(明)张燮辑
034
三国(十六)
汉丞相诸葛忠武侯集二十一卷(卷一-十六)(三国蜀)诸葛亮撰(明)诸葛羲基辑
035
三国(十七)
汉丞相诸葛忠武侯集二十一卷(卷十七-二十一)(三国蜀)诸葛亮撰(明)诸葛羲基辑
诸葛武侯集(三国蜀)诸葛亮撰(明)叶绍泰辑
诸葛孔明文抄一卷(三国蜀)诸葛亮撰(明)李宾辑
诸葛武侯集四卷首一卷(三国蜀)诸葛亮撰(清)朱璘辑
036
三国(十八)
忠武志八卷(卷一-六)(三国蜀)诸葛亮撰(清)张鹏翮辑
037
三国(十九)
忠武志八卷(卷七-八)(三国蜀)诸葛亮撰(清)张鹏翮辑
忠武志十卷(卷一-五)(三国蜀)诸葛亮撰(清)张鹏翮辑
038
三国(二十)
忠武志十卷(卷六-十)(三国蜀)诸葛亮撰(清)张鹏翮辑
诸葛亮(三国蜀)诸葛亮撰(清)严可均辑
诸葛忠武侯文集六卷首一卷(卷首-三)(三国蜀)诸葛亮撰(清)张澍辑(清)刘质慧校
039
三国(二十一)
诸葛忠武侯文集六卷首一卷(卷四-六)(三国蜀)诸葛亮撰(清)张澍辑(清)刘质慧校
诸葛武侯文集四卷(三国蜀)诸葛亮撰(清)张伯行辑
武侯全书二十卷首一卷(卷首-一)(三国蜀)诸葛亮撰(清)赵承恩辑
040
三国(二十二)
武侯全书二十卷首一卷(卷二-十)(三国蜀)诸葛亮撰(清)赵承恩辑
041
三国(二十三)
武侯全书二十卷首一卷(卷十一-十八)(三国蜀)诸葛亮撰(清)赵承恩辑
042
三国(二十四)
武侯全书二十卷首一卷(卷十九-二十)(三国蜀)诸葛亮撰(清)赵承恩辑
诸葛亮(三国蜀)诸葛亮撰 丁福保辑
虞翻(三国吴)虞翻撰(清)严可均辑
骆统(三国吴)骆统撰(清)严可均辑
暨艳(三国吴)暨艳撰(清)严可均辑
张温(三国吴)张温撰(清)严可均辑
薛综(三国吴)薛综撰(清)严可均辑
胡综(三国吴)胡综撰(清)严可均辑
谢承(三国吴)谢承撰(清)严可均辑
纪隲(三国吴)纪隲撰(清)严可均辑
姚信(三国吴)姚信撰(清)严可均辑
陆凯(三国吴)陆凯撰(清)严可均辑
韦昭(三国吴)韦昭撰(明)冯惟讷辑
韦昭(三国吴)韦昭撰(清)严可均辑
韦昭(三国吴)韦昭撰 丁福保辑
华覈(三国吴)华覈撰(清)严可均辑
陆景(三国吴)陆景撰(清)严可均辑
闵鸿(三国吴)闵鸿撰(清)严可均辑
张俨(三国吴)张俨撰(清)严可均辑
晋(一)
王沈(晋)王沈撰(清)严可均辑
何桢(晋)何桢撰(清)严可均辑
向秀(晋)向秀撰(清)严可均辑
袁准(晋)袁准撰(清)严可均辑
程咸(晋)程成撰(清)严可均辑
嵇喜(晋)嵇喜撰(明)冯惟讷辑
嵇喜(晋)嵇喜撰 丁福保辑
孙毓(晋)孙毓撰(清)严可均辑
杨泉(晋)杨泉撰(清)严可均辑
殷巨(晋)殷巨撰(清)严可均辑
阮种(晋)阮种撰(清)严可均辑
应贞(晋)应贞撰(明)冯惟讷辑
应贞(晋)应贞撰(清)严可均辑
应贞(晋)应贞撰 丁福保辑
裴秀(晋)裴秀撰(明)冯惟讷辑
裴秀(晋)裴秀撰(清)严可均辑
裴秀(晋)裴秀撰 丁福保辑
成公绥(晋)成公绥撰(明)冯惟讷辑
成公绥(晋)成公绥撰(清)严可均辑
成公绥(晋)成公绥撰 丁福保辑
庾峻(晋)庾峻撰(清)严可均辑
庾儵(晋)庾儵撰(清)严可均辑
羊祜(晋)羊祜撰(清)严可均辑
卢钦(晋)卢钦撰(清)严可均辑
郄正(晋)郄正撰(清)严可均辑
傅玄(晋)傅玄撰(明)冯惟讷辑
傅鹑觚集六卷附录一卷(卷一-二)(晋)傅玄撰(明)张燮辑
043
晋(二)
傅鹑觚集六卷附录一卷(卷三-六 附录)(晋)傅玄撰(明)张燮辑
傅玄(晋)傅玄撰(清)严可均辑
晋司隶校尉傅玄集三卷(晋)傅玄撰 叶德辉辑
傅玄(晋)傅玄撰 丁福保辑
鹑觚集二卷(晋)傅玄撰(清)李光廷辑(清)方濬师增补 张鹏一校补
044
晋(三)
张载(晋)张载撰(明)冯惟讷辑
张载(晋)张载撰(清)严可均辑
张载(晋)张载撰 丁福保辑
江伟(晋)江伟撰(明)冯惟讷辑
江伟(晋)江伟撰(清)严可均辑
江伟(晋)江伟撰 丁福保辑
宣舒(晋)宣舒撰(清)严可均辑
文立(晋)文立撰(清)严可均辑
薛莹(晋)薛莹撰(明)冯惟讷辑
薛莹(晋)薛莹撰(清)严可均辑
薛莹(晋)薛莹撰 丁福保辑
贾充(晋)贾充撰(明)冯惟讷辑
贾充(晋)贾充撰(清)严可均辑
贾充(晋)贾充撰 丁福保辑
皇甫谧(晋)皇甫谧撰(明)冯惟讷辑
皇甫谧(晋)皇甫谧撰(清)严可均辑
元晏先生集二卷附录一卷(晋)皇甫谧撰
皇甫谧(晋)皇甫谧撰 丁福保辑
山涛(晋)山涛撰(清)严可均辑
齐王攸(晋)司马攸撰(清)严可均辑
盛彦(晋)盛彦撰(清)严可均辑
杨义(晋)杨又撰(清)严可均辑
杜征南集(晋)杜预撰(明)叶绍泰辑
杜预(晋)杜预撰(清)严可均辑
枣据(晋)枣据撰(明)冯惟讷辑
枣据(晋)枣据撰(清)严可均辑
枣据(晋)枣据撰 丁福保辑
刘宝(晋)刘宝撰(清)严可均辑
王濬(晋)王濬撰(明)冯惟讷辑
王濬(晋)王濬撰(清)严可均辑
王濬(晋)王濬撰 丁福保辑
束皙(晋)束皙撰(明)冯惟讷辑
束皙(晋)束皙撰(清)严可均辑
束晳(晋)束皙撰 丁福保辑
张敏(晋)张敏撰(清)严可均辑
左思(晋)左思撰(明)冯惟讷辑
左思(晋)左思撰(清)严可均辑
左太冲集(晋)左思撰
左思(晋)左思撰 丁福保辑
左贵嫔(晋)左芬撰(明)冯惟讷辑
左九嫔(晋)左芬撰(清)严可均辑
左贵嫔(晋)左芬撰 丁福保辑
夏靖(晋)夏靖撰 丁福保辑
刘毅(晋)刘毅撰(清)严可均辑
李密(晋)李密撰(明)冯惟讷辑
李密(晋)李密撰(清)严可均辑
李密(晋)李密撰 丁福保辑
虞溥(晋)虞溥撰(清)严可均辑
曹志(晋)曹志撰(清)严可均辑
荀勖(晋)荀勖撰(明)冯惟讷辑
荀勖(晋)荀勖撰(清)严可均辑
荀勖(晋)荀勖撰 丁福保辑
夏侯湛(晋)夏侯湛撰(明)(明)冯惟讷辑
夏侯常侍集二卷附录一卷(晋)夏侯湛撰(明)张燮辑
045
晋(四)
夏侯湛(晋)夏侯湛撰(清)严可均辑
夏侯湛(晋)夏侯湛撰 丁福保辑
卫恒(晋)卫恒撰(清)严可均辑
孙楚(晋)孙楚撰(明)冯惟讷辑
孙冯翊集二卷附录一卷(晋)孙楚撰(明)张燮辑
孙楚(晋)孙楚撰(清)严可均辑
孙楚(晋)孙楚撰 丁福保辑
阎缵(晋)阎缵撰(清)严可均辑
华峤(晋)华峤撰(清)严可均辑
傅咸(晋)傅咸撰(明)冯惟讷辑
傅中丞集四卷附录一卷(晋)傅咸撰(明)张燮辑
傅咸(晋)傅咸撰(清)严可均辑
傅咸(晋)傅咸撰 丁福保辑
中丞集一卷(晋)傅咸撰 张鹏一校补
夏侯淳(晋)夏侯淳撰(清)严可均辑
蔡洪(晋)蔡洪撰(清)严可均辑
刘颂(晋)刘颂撰(清)严可均辑
胡济(晋)胡济撰(清)严可均辑
张悛(晋)张悛撰(清)严可均辑
张浚(晋)张浚撰(清)严可均辑
王浑(晋)王浑撰(清)严可均辑
卢播(晋)卢播撰(清)严可均辑
应硕(晋)应硕撰(清)严可均辑
锺琰(晋)锺琰撰(清)严可均辑
邹湛(晋)邹湛撰(清)严可均辑
046
晋(五)
张华(晋)张华撰(明)冯惟讷辑
张华(晋)张华撰(清)严可均辑
张司空集一卷(晋)张华撰
张华(晋)张华撰 丁福保辑
欧阳建(晋)欧阳建撰(明)冯惟讷辑
欧阳建(晋)欧阳建撰(清)严可均辑
欧阳建(晋)欧阳建撰 丁福保辑
谢衡(晋)谢衡撰(清)严可均辑
潘岳(晋)潘岳撰(明)冯惟讷辑
潘黄集六卷(晋)潘岳撰
潘黄门集六卷附录一卷(晋)潘岳撰(明)张燮辑
潘黄门集(晋)潘岳撰
潘黄门集(晋)潘岳撰(明)叶绍泰辑
潘安仁文抄一卷(晋)潘岳撰(明)李宾辑
047
晋(六)
潘岳(晋)潘岳撰(清)严可均辑
潘安仁集五卷(晋)潘岳撰
潘岳(晋)潘岳撰 丁福保辑
裴楷(晋)裴楷撰(清)严可均辑
张辅(晋)张辅撰(清)严可均辑
张翰(晋)张翰撰(明)冯惟讷辑
张翰(晋)张翰撰(清)严可均辑
张翰(晋)张翰撰 丁福保辑
陆冲(晋)陆冲撰(明)冯惟讷辑
陆冲(晋)陆冲撰(清)严可均辑
陆冲(晋)陆冲撰 丁福保辑
蔡充(晋)蔡充撰(清)严可均辑
李重(晋)李重撰(清)严可均辑
吴商(晋)吴商撰(清)严可均辑
仲长敖(晋)仲长敖撰(清)严可均辑
牵秀(晋)牵秀撰(清)严可均辑
裴頠(晋)裴頠撰(清)严可均辑
石崇(晋)石崇撰(明)冯惟讷辑
石崇(晋)石崇撰(清)严可均辑
石崇(晋)石崇撰 丁福保辑
何劭(晋)何劭撰(明)冯惟讷辑
何劭(晋)何劭撰(清)严可均辑
何劭(晋)何劭撰 丁福保辑
卞粹(晋)卞粹撰(清)严可均辑
索靖(晋)索靖撰(清)严可均辑
陆士衡集十卷(晋)陆机撰
陆士衡集十卷 (卷一-二)(晋)陆机撰
048
晋(七)
陆士衡集十卷(卷三-十)(晋)陆机撰
陆士衡集七卷(晋)陆机撰
陆机(晋)陆机撰(明)冯惟讷辑
陆平原集八卷附录一卷(卷一-五)(晋)陆机撰(明)张燮辑
049
晋(八)
陆平原集八卷附录一卷(卷六-八)(晋)陆机撰(明)张燮辑
陆士衡集(晋)陆机撰
陆平原集(晋)陆机撰(明)叶绍泰辑
陆士衡文抄一卷(晋)陆机撰(明)李宾辑
陆机(晋)陆机撰(清)严可均辑
(陆士衡集)逸文(晋)陆机撰(清)钱培名辑
陆士衡集佚文一卷(晋)陆机撰(清)王仁俊辑
陆机(晋)陆机撰 丁福保辑
陆士衡诗注四卷 郝立权撰
050 (晋)(九)
陆士龙文集十卷(晋)陆云撰
陆士龙文集十卷(晋)陆云撰
陆士龙集十卷(卷一-二)(晋)陆云撰
051
晋(十)
陆士龙集十卷(卷三-十)(晋)陆云撰
陆士龙集四卷(晋)陆云撰
陆云(晋)陆云撰(明)冯惟讷辑
陆清河集八卷附录一卷(卷一-五)(晋)陆云撰(明)张燮辑
052
晋(十一)
陆清河集八卷附录一卷(卷六-八附录)(晋)陆云撰(明)张燮辑
陆士龙文抄一卷(晋)陆云撰(明)李宾辑
陆云(晋)陆云撰(清)严可均辑
陆云(晋)陆云撰 丁福保辑
孙拯(晋)孙拯撰(明)冯惟讷辑
孙承(晋)孙拯撰(清)严可均辑
孙拯(晋)孙拯撰 丁福保辑
嵇绍(晋)嵇绍撰(明)冯惟讷辑
嵇绍(晋)嵇绍撰(清)严可均辑
嵇绍(晋)嵇绍撰 丁福保辑
孙惠(晋)孙惠撰(清)严可均辑
郑曼季(晋)郑丰撰(明)冯惟讷辑
郑丰(晋)郑丰撰(清)严可均辑
郑丰(晋)郑丰撰 丁福保辑
刘弘(晋)刘弘撰(清)严可均辑
司马彪(晋)司马彪撰(明)冯惟讷辑
司马彪(晋)司马彪撰(清)严可均辑
司马彪(晋)司马彪撰 丁福保辑
嵇含(晋)嵇含撰(明)冯惟讷辑
嵇含(晋)嵇含撰(清)严可均辑
嵇含(晋)嵇含撰 丁福保辑
曹摅(晋)曹摅撰(明)冯惟讷辑
曹摅(晋)曹摅撰(清)严可均辑
曹摅(晋)曹摅撰 丁福保辑
江统(晋)江统撰(清)严可均辑
闾丘冲(晋)闾丘冲撰(明)冯惟讷辑
闾丘冲(晋)闾丘冲撰(清)严可均辑
闾丘冲(晋)闾丘冲撰 丁福保辑
张协(晋)张协撰(明)冯惟讷辑
张协(晋)张协撰(清)严可均辑
张协(晋)张协撰 丁福保辑
王赞(晋)王赞撰(明)冯惟讷辑
王赞(晋)王赞撰(清)严可均辑
王赞(晋)王赞撰 丁福保辑
王旷(晋)王旷撰(清)严可均辑
王浚(晋)王浚撰(明)冯惟讷辑
王浚(晋)王浚撰 丁福保辑
刘寔(晋)刘寔撰(清)严可均辑
阮修(晋)阮修撰(明)冯惟讷辑
阮修(晋)阮修撰(清)严可均辑
阮修(晋)阮修撰 丁福保辑
裴邈(晋)裴邈撰(清)严可均辑
枣腆(晋)枣腆撰(明)冯惟讷辑
枣腆(晋)枣腆撰 丁福保辑
傅畅(晋)傅畅撰(清)严可均辑
杜育(晋)杜育撰(明)冯惟讷辑
杜育(晋)杜育撰(清)严可均辑
杜育(晋)杜育撰 丁福保辑
枣嵩(晋)枣嵩撰 丁福保辑
挚虞(晋)挚虞撰(明)冯惟讷辑
挚虞(晋)挚虞撰(清)严可均辑
挚虞(晋)挚虞撰 丁福保辑
挚太常文集一卷(晋)挚虞撰 张鹏一校补
053
晋(十二)
王济(晋)王济撰(明)冯惟讷辑
王济(晋)王济撰(清)严可均辑
王济(晋)王济撰 丁福保辑
潘尼(晋)潘尼撰(明)冯惟讷辑
潘太常集二卷(晋)潘尼撰(明)张燮辑
潘尼(晋)潘尼撰(清)严可均辑
潘尼(晋)潘尼撰 丁福保辑
庾敳(晋)庾敳撰(清)严可均辑
山简(晋)山简撰(清)严可均辑
顾荣(晋)顾荣撰(清)严可均辑
阮瞻(晋)阮瞻撰(清)严可均辑
郭象(晋)郭象撰(清)严可均辑
刘琨(晋)刘琨撰(明)冯惟讷辑
刘越石集(晋)刘琨撰(明)叶绍泰辑
刘琨(晋)刘琨撰(清)严可均辑
刘琨(晋)刘琨撰 丁福保辑
贺循(晋)贺循撰(清)严可均辑
贾彬(晋)贾彬撰(清)严可均辑
卫展(晋)卫展撰(清)严可均辑
王鉴(晋)王鉴撰(明)冯惟讷辑
王鉴(晋)王鉴撰(清)严可均辑
王鉴(晋)王鉴撰 丁福保辑
周嵩(晋)周嵩撰(清)严可均辑
熊远(晋)熊远撰(清)严可均辑
干宝(晋)干宝撰(清)严可均辑
干宝(晋)干宝撰 丁福保辑
傅纯(晋)傅纯撰(清)严可均辑
谷俭(晋)谷俭撰(清)严可均辑
谷俭集一卷(晋)谷俭撰(清)陈运溶辑
荀组(晋)荀组撰(清)严可均辑
周顗(晋)周顗撰(清)严可均辑
王廙(晋)王廙撰(清)严可均辑
谢琨(晋)谢琨撰(清)严可均辑
华谭(晋)华谭撰(清)严可均辑
杨方(晋)杨方撰(明)冯惟讷辑
杨方(晋)杨方撰(清)严可均辑
杨方(晋)杨方撰 丁福保辑
明帝(晋)明帝司马绍撰(清)严可均辑
王敦(晋)王敦撰(清)严可均辑
郭璞(晋)郭璞撰(明)冯惟讷辑
郭弘农集二卷附录一卷(晋)郭璞撰(明)张燮辑
郭弘农集(晋)郭璞撰(明)叶绍泰辑
郭璞(晋)郭璞撰(清)严可均辑
郭景纯集二卷(晋)郭璞撰
郭璞(晋)郭璞撰 丁福保辑
戴邈(晋)戴邈撰(清)严可均辑
王隐(晋)王隐撰(清)严可均辑
刘隗(晋)刘隗撰(清)严可均辑
曹毗(晋)曹毗撰(明)冯惟讷辑
曹毗(晋)曹毗撰(清)严可均辑
曹毗(晋)曹毗撰 丁福保辑
刘超(晋)刘超撰(清)严可均辑
054
晋(十三)
张闓(晋)张闓撰(清)严可均辑
卞壶(晋)卞壶撰(清)严可均辑
诸葛恢(晋)诸葛恢撰(清)严可均辑
荀崧(晋)荀崧撰(清)严可均辑
温峤(晋)温峤撰(清)严可均辑
梅陶(晋)梅陶撰(明)冯惟讷辑
梅陶(晋)梅陶撰(清)严可均辑
梅陶(晋)梅陶撰 丁福保辑
葛洪(晋)葛洪撰(明)冯惟讷辑
葛洪(晋)葛洪撰(清)严可均辑
葛洪(晋)葛洪撰 丁福保辑
王导(晋)王导撰(清)严可均辑
孙盛(晋)孙盛撰(清)严可均辑
沈充(晋)沈充撰(清)严可均辑
锺雅(晋)锺雅撰(清)严可均辑
虞预(晋)虞预撰(清)严可均辑
应詹(晋)应詹撰(清)严可均辑
李充(晋)李充撰(明)冯惟讷辑
李充(晋)李充撰(清)严可均辑
李充(晋)李充撰 丁福保辑
范坚(晋)范坚撰(清)严可均辑
陶侃(晋)陶侃撰(清)严可均辑
王愆期(晋)王愆期撰(清)严可均辑
孔坦(晋)孔坦撰(清)严可均辑
郗鉴(晋)郗鉴撰(清)严可均辑
庾阐(晋)庾阐撰(明)冯惟讷辑
庾阐(晋)庾阐撰(清)严可均辑
庾阐(晋)庾阐撰 丁福保辑
张虞(晋)张虞撰(清)严可均辑
庾亮(晋)庾亮撰(清)严可均辑
彭城王纮(晋)司马纮撰(清)严可均辑
应亨(晋)应亨撰(明)冯惟讷辑
应亨(晋)应亨撰(清)严可均辑
应亨(晋)应亨撰 丁福保辑
谢沈(晋)谢沈撰(清)严可均辑
庾冰(晋)庾冰撰(清)严可均辑
庾翼(晋)庾翼撰(清)严可均辑
何充(晋)何充撰(清)严可均辑
王濛(晋)王濛撰(清)严可均辑
刘恢(晋)刘恢撰(明)冯惟讷辑
刘恢(晋)刘恢撰(清)严可均辑
刘恢(晋)刘恢撰 丁福保辑
刘惔(晋)刘惔撰(清)严可均辑
袁乔(晋)袁乔撰(清)严可均辑
徐禅(晋)徐禅撰(清)严可均辑
黄整(晋)黄整撰(清)严可均辑
刘遐(晋)刘遐撰(清)严可均辑
张凭(晋)张凭撰(清)严可均辑
徐彦(晋)徐彦撰(清)严可均辑
江霦(晋)江霦撰(清)严可均辑
卢谌(晋)卢谌撰(明)冯惟讷辑
卢谌(晋)卢谌撰(清)严可均辑
卢谌(晋)卢谌撰 丁福保辑
殷融(晋)殷融撰(清)严可均辑
王洽(晋)王洽撰(清)严可均辑
谯王无忌(晋)司马无忌撰(清)严可均辑
顾和(晋)顾和撰(清)严可均辑
李颙(晋)李颙撰(明)冯惟讷辑
李颙(晋)李颙撰(清)严可均辑
李颙(晋)李颙撰 丁福保辑
蔡谟(晋)蔡谟撰(清)严可均辑
殷浩(晋)殷浩撰(清)严可均辑
谢尚(晋)谢尚撰(明)冯惟讷辑
谢尚(晋)谢尚撰(清)严可均辑
谢尚(晋)谢尚撰 丁福保辑
孙放(晋)孙放撰(清)严可均辑
江逌(晋)江逌撰(明)冯惟讷辑
江逌(晋)江逌撰(清)严可均辑
江逌(晋)江逌撰 丁福保辑
庾统(晋)庾统撰(清)严可均辑
谢敷(晋)谢敷撰(清)严可均辑
喻希(晋)喻希撰(清)严可均辑
谢万(晋)谢万撰(清)严可均辑
谢万(晋)谢万撰 丁福保辑
罗含(晋)罗含撰(清)严可均辑
范汪(晋)范汪撰(清)严可均辑
支遁集二卷(晋)释支遁撰
支道林集一卷(晋)释支遁撰
支遁(晋)释支遁撰(明)冯惟讷辑
支道林集一卷(晋)释支遁撰
055
晋(十四)
支遁集二卷(晋)释支遁撰
支遁(晋)释支遁撰(清)严可均辑
支遁集二卷补遗一卷(晋)释支遁撰(补遗)(清)蒋清翊辑
支遁(晋)支遁撰 丁福保辑
王修(晋)王修撰(清)严可均辑
庾龢(晋)庾龢撰(清)严可均辑
郗超(晋)郗超撰(清)严可均辑
郗超(晋)郗超撰 丁福保辑
王述(晋)王述撰(清)严可均辑
孔严(晋)孔严撰(清)严可均辑
王胡之(晋)王胡之撰(清)严可均辑
王胡之(晋)王胡之撰 丁福保辑
简文帝(晋)简文帝马司昱撰(清)严可均辑
桓温(晋)桓温撰(明)冯惟讷辑
桓温(晋)桓温撰(清)严可均辑
桓温(晋)桓温撰 丁福保辑
郑袭(晋)郑袭撰(清)严可均辑
王坦之(晋)王坦之撰(清)严可均辑
袁宏(晋)袁宏撰(明)冯惟讷辑
袁宏(晋)袁宏撰(清)严可均辑
袁宏(晋)袁宏撰 丁福保辑
孙绰(晋)孙绰撰(明)冯惟讷辑
孙廷尉集二卷附录一卷(晋)孙绰撰(明)张燮辑
孙绰(晋)孙绰撰(清)严可均辑
孙绰(晋)孙绰撰 丁福保辑
王彪之(晋)王彪之撰(明)冯惟讷辑
王彪之(晋)王彪之撰(清)严可均辑
王彪之(晋)王彪之撰 丁福保辑
孙统(晋)孙统撰(清)严可均辑
孙总(晋)孙总撰 丁福保辑
王右军文抄一卷(晋)王羲之撰(明)李宾辑
王羲之(晋)王羲之撰(清)严可均辑
王羲之(晋)王羲之撰 丁福保辑
056
晋(十五)
谢歆(晋)谢歆撰(清)严可均辑
许询(晋)许询撰(明)冯惟讷辑
许询(晋)许询撰(清)严可均辑
许询(晋)许询撰 丁福保辑
张望(晋)张望撰(明)冯惟讷辑
张望(晋)张望撰(清)严可均辑
张望(晋)张望撰 丁福保辑
韩伯(晋)韩伯撰(清)严可均辑
苏彦(晋)苏彦撰(明)冯惟讷辑
苏彦(晋)苏彦撰(清)严可均辑
苏彦(晋)苏彦撰 丁福保辑
范宣(晋)范宣撰(清)严可均辑
庾肃之(晋)庾肃之撰(清)严可均辑
王忱(晋)王忱撰(清)严可均辑
陈玢(晋)陈玢撰(清)严可均辑
郗愔(晋)郗愔撰(清)严可均辑
习凿齿(晋)习凿齿撰(明)冯惟讷辑
习凿齿(晋)习凿齿撰(清)严可均辑
习凿齿(晋)习凿齿撰 丁福保辑
殷康(晋)殷康撰(清)严可均辑
谢安(晋)谢安撰(清)严可均辑
谢安(晋)谢安撰 丁福保辑
孙嗣(晋)孙嗣撰 丁福保辑
伏滔(晋)伏滔撰(清)严可均辑
伏滔(晋)伏滔撰 陈蜚声辑
殷允(晋)殷允撰(清)严可均辑
谢玄(晋)谢玄撰(清)严可均辑
王珉(晋)王珉撰(清)严可均辑
范弘之(晋)范弘之撰(清)严可均辑
孔汪(晋)孔汪撰(清)严可均辑
褚爽(晋)褚爽撰(清)严可均辑
王肃之(晋)王肃之撰 丁福保辑
王徽之(晋)王徽之撰(清)严可均辑
王徽之(晋)王徽之撰 丁福保辑
王献之(晋)王献之撰(明)冯惟讷辑
王献之(晋)王献之撰(清)严可均辑
王献之(晋)王献之撰 丁福保辑
谢道韫(晋)谢道韫撰(明)冯惟讷辑
谢道韫(晋)谢道韫撰(清)严可均辑
谢道韫(晋)谢道韫撰 丁福保辑
戴逵(晋)戴逵撰(清)严可均辑
孝武帝(晋)孝武帝司马曜撰(清)严可均辑
祖台之(晋)祖台之撰(清)严可均辑
徐邈(晋)徐貌撰(清)严可均辑
王恭(晋)王恭撰(清)严可均辑
殷仲堪(晋)殷仲堪撰(清)严可均辑
王珣(晋)王珣撰(清)严可均辑
弘君举(晋)弘君举撰(清)严可均辑
伏系之(晋)伏系之撰(明)冯惟讷辑
伏系之(晋)伏系之撰(清)严可均辑
伏系之(晋)伏系之撰 丁福保辑
伏系之(晋)伏系之撰 陈蜚声辑
孔璠之(晋)孔璠之撰(清)严可均辑
湛方生(晋)湛方生撰(明)冯惟讷辑
湛方生(晋)湛方生撰(清)严可均辑
湛方生(晋)湛方生撰 丁福保辑
卞范之(晋)卞范之撰(清)严可均辑
袁山松(晋)袁山松撰(明)冯惟讷辑
袁山松(晋)袁山松撰(清)严可均辑
袁山松(晋)袁山松撰 丁福保辑
范宁(晋)范宁撰(清)严可均辑
会稽王道子(晋)司马道子撰(清)严可均辑
曾环(晋)曾环撰(清)严可均辑
顾恺之(晋)顾恺之撰(明)冯惟讷辑
顾恺之(晋)顾恺之撰(清)严可均辑
顾恺之(晋)顾恺之撰 丁福保辑
陶彭泽集五卷附录一卷(晋)陶渊明撰(明)张燮辑
陶渊明(晋)陶渊明撰(明)冯惟讷辑
057
晋(十六)
陶渊明集(晋)陶渊明撰
陶潜(晋)陶渊明撰(清)严可均辑
陶渊明(晋)陶渊明撰 丁福保辑
陶靖节集十卷(晋)陶渊明撰
陶彭泽集(晋)陶渊明撰(明)叶绍泰辑
陶彭泽诗四卷(晋)陶渊明撰
058
晋(十七)
晋陶靖节集四卷(晋)陶渊明撰
辛昞(晋)辛昞撰(清)严可均辑
何瑾(晋)何瑾撰(清)严可均辑
桓玄(晋)桓玄撰(明)冯惟讷辑
桓玄(晋)桓玄撰(清)严可均辑
桓玄(晋)桓玄撰 丁福保辑
刘瑾(晋)刘瑾撰(清)严可均辑
殷仲文(晋)殷仲文撰(明)冯惟讷辑
殷仲文(晋)殷仲文撰(清)严可均辑
殷仲文(晋)殷仲文撰 丁福保辑
王谧(晋)王谧撰(清)严可均辑
卞承之(晋)卞承之撰(清)严可均辑
周袛(晋)周祗撰(清)严可均辑
殷阐(晋)殷阐撰(清)严可均辑
卞裕(晋)卞裕撰(明)冯惟讷辑
卞裕(晋)卞裕撰 丁福保辑
徐乾(晋)徐乾撰(清)严可均辑
刘程之(晋)刘程之撰(清)严可均辑
释昙谛(晋)释昙谛撰(清)严可均辑
谢混(晋)谢混撰(明)冯惟讷辑
谢混(晋)谢混撰(清)严可均辑
谢混(晋)谢混撰 丁福保辑
羊徽(晋)羊徽撰(清)严可均辑
羊徽(晋)羊徽撰 丁福保辑
袁豹(晋)袁豹撰(清)严可均辑
王诞(晋)王诞撰(清)严可均辑
释僧肇(晋)释僧肇撰(清)严可均辑
慧远(晋)释慧远撰(明)冯惟讷辑
释慧远(晋)释慧远撰(清)严可均辑
慧远(晋)释慧远撰 丁福保辑
徐广(晋)徐广撰(清)严可均辑
周续之(晋)周续之撰(清)严可均辑
木华(晋)木华撰(清)严可均辑
陈窈(晋)陈窈撰(清)严可均辑
陈[王参](晋)[王参]撰(清)严可均辑
王劭之(晋)王劭之撰(清)严可均辑
傅充妻辛氏(晋)辛萧撰(清)严可均辑
辛萧(晋)辛萧撰(清)严可均辑
辛萧(晋)辛萧撰 丁福保辑
孙琼(晋)孙琼撰(清)严可均辑
前凉
张骏(前凉)张骏撰(明)冯惟讷辑
张骏(前凉)张骏撰(清)严可均辑
张骏(前凉)张骏撰 丁福保辑
谢艾(前凉)谢艾撰(清)严可均辑
后赵
王度(后赵)王度撰(清)严可均辑
前秦
王猛(前秦)王猛撰(清)严可均辑
南朝宋
孔欣(南朝宋)孔欣撰(明)冯惟讷辑
孔欣(南朝宋)孔欣撰(清)严可均辑
孔欣(南朝宋)孔欣撰 丁福保辑
卞伯玉(南朝宋)卞伯玉撰(明)冯惟讷辑
卞伯玉(南朝宋)卞伯玉撰(清)严可均辑
卞伯玉(南朝宋)卞伯玉撰 丁福保辑
伍缉之(南朝宋)伍缉之撰(明)冯惟讷辑
伍缉之(南朝宋)伍缉之撰(清)严可均辑
伍缉之(南朝宋)伍缉之撰 丁福保辑
虞繁(南朝宋)虞繁撰(清)严可均
张野(南朝宋)张野撰(清)严可均辑
谢瞻(南朝宋)谢瞻撰(明)冯惟讷辑
谢瞻(南朝宋)谢瞻撰(清)严可均辑
谢瞻(南朝宋)谢瞻撰 丁福保辑
武帝(南朝宋)武帝刘裕撰(清)严可均辑
孔琳之(南朝宋)孔琳之撰(清)严可均辑
蔡廓(南朝宋)蔡廓撰(清)严可均辑
孔宁子(南朝宋)孔宁子撰(明)冯惟讷辑
孔宁子(南朝宋)孔宁子撰(清)严可均辑
孔宁子(南朝宋)孔宁子撰 丁福保辑
何长瑜(南朝宋)何长瑜撰(明)冯惟讷辑
何长瑜(南朝宋)何长瑜撰(清)严可均辑
何长瑜(南朝宋)何长瑜撰 丁福保辑
王叔之(南朝宋)王叔之撰(明)冯惟讷辑
王叔之(南朝宋)王叔之撰(清)严可均辑
王叔之(南朝宋)王叔之撰 丁福保辑
傅亮(南朝宋)傅亮撰(明)冯惟讷辑
傅亮(南朝宋)傅亮撰(清)严可均辑
傅光禄集二卷首一卷末一卷(南朝宋)傅亮撰(清)傅以礼辑
傅亮(南朝宋)傅亮撰 丁福保辑
059
南朝宋(二)
郑鲜之(南朝宋)郑鲜之撰(明)冯惟讷辑
郑鲜之(南朝宋)郑鲜之撰(清)严可均辑
郑鲜之(南朝宋)郑鲜之撰 丁福保辑
颜测(南朝宋)颜测撰(清)严可均辑
范泰(南朝宋)范泰撰(明)冯惟讷辑
范泰(南朝宋)范泰撰(清)严可均辑
范泰(南朝宋)范泰撰 丁福保辑
荀昶(南朝宋)荀昶撰(明)冯惟讷辑
荀昶(南朝宋)荀昶撰 丁福保辑
王昙首(南朝宋)王昙首撰(清)严可均辑
谢惠连集一卷(南朝宋)谢惠连撰
谢惠连(南朝宋)谢惠连撰
谢惠连(南朝宋)谢惠连撰(明)冯惟讷辑
谢惠连集一卷(南朝宋)谢惠连撰
谢法曹集二卷附录一卷(南朝宋)谢惠连撰(明)张燮辑
谢法曹诗二卷(南朝宋)谢惠连撰
谢法曹诗二卷(南朝宋)谢惠连撰
谢惠连(南朝宋)谢惠连撰(清)严可均辑
谢法曹集二卷(南朝宋)谢惠连撰
谢惠连(南朝宋)谢惠连撰 丁福保辑
谢元(南朝宋)谢元撰(清)严可均辑
张镜(南朝宋)张镜撰(清)严可均辑
孙康(南朝宋)孙康撰(清)严可均辑
释慧琳(南朝宋)释慧琳撰(清)严可均辑
王弘(南朝宋)王弘撰(清)严可均辑
羊欣(南朝宋)羊欣撰(清)严可均辑
谢康乐集一卷(南朝宋)谢灵运撰
谢灵运(南朝宋)谢灵运撰
谢灵运(南朝宋)谢灵运撰(明)冯惟讷辑
谢康乐集八卷附录一卷(卷一-三)(南朝宋)谢灵运撰(明)张燮辑
060
南朝宋(三)
谢康乐集八卷附录一卷(卷四-八 附录)(南朝宋)谢灵运撰(明)张燮辑
谢康乐集四卷(南朝宋)谢灵运撰
康乐集四卷(南朝宋)谢灵运撰
061
南朝宋(四)
谢康乐集(南朝宋)谢灵运撰
谢康乐集(南朝宋)谢灵运撰(明)叶绍泰辑
谢灵运文抄一卷(南朝宋)谢灵运撰(明)李宾辑
宋谢康乐集二卷(南朝宋)谢灵运撰(清)卓尔堪等辑
谢康乐诗三卷(南朝宋)谢灵运撰
谢康乐诗三卷(南朝宋)谢灵运撰
谢灵运(南朝宋)谢灵运撰(清)严可均辑
谢康乐集五卷(南朝宋)谢灵运撰
谢灵运(南朝宋)谢灵运撰 丁福保辑
062
南朝宋(五)
谢康乐集拾遗一卷(南朝宋)谢灵运撰 冒广生辑
谢康乐诗注四卷补遗一卷(南朝宋)谢灵运撰 黄节注
荀雍(南朝宋)荀雍撰(明)冯惟讷辑
荀雍(南朝宋)荀雍撰 丁福保辑
王韶之(南朝宋)王韶之撰(明)冯惟讷辑
王韶之(南朝宋)王韶之撰(清)严可均辑
王韶之(南朝宋)王韶之撰 丁福保辑
荀伯子(南朝宋)荀伯子撰(清)严可均辑
长沙王义欣(南朝宋)刘义欣撰(清)严可均辑
殷景仁(南朝宋)殷景仁撰(清)严可均辑
王微(南朝宋)王微撰(明)冯惟讷辑
王微(南朝宋)王微撰(清)严可均辑
王微(南朝宋)王微撰 丁福保辑
宗炳(南朝宋)宗炳撰(明)冯惟讷辑
宗炳(南朝宋)宗炳撰(清)严可均辑
宗炳(南朝宋)宗炳撰 丁福保辑
临川王义庆(南朝宋)刘义庆撰(明)冯惟讷辑
临川王义庆(南朝宋)刘义庆撰(清)严可均辑
临川王义庆(南朝宋) 丁福保辑
范晔(南朝宋)范晔撰(明)冯惟讷辑
范晔(南朝宋)范晔撰(清)严可均辑
范晔(南朝宋)范晔撰 丁福保辑
衡阳王义季(南朝宋)刘义季撰(清)严可均辑
王敬弘(南朝宋)王敬弘撰(清)严可均辑
任豫(南朝宋)任豫撰(明)冯惟讷辑
任豫(南朝宋)任豫撰(清)严可均辑
任豫(南朝宋)任豫撰 丁福保辑
何承天(南朝宋)何承天撰(明)冯惟讷辑
何衡阳集(南朝宋)何承天撰(明)叶绍泰辑
何承天(南朝宋)何承天撰(清)严可均辑
何承天(南朝宋)何承天撰 丁福保辑
雷次宗(南朝宋)雷次宗撰(清)严可均辑
沈演之(南朝宋)沈演之撰(清)严可均辑
沈亮(南朝宋)沈亮撰(清)严可均辑
裴松之(南朝宋)裴松之撰(清)严可均辑
文帝(南朝宋)文帝刘义隆撰(明)冯惟讷辑
文帝(南朝宋)文帝刘义隆撰(清)严可均辑
文帝(南朝宋)文帝刘义隆撰 丁福保辑
袁淑(南朝宋)袁淑撰(明)冯惟讷辑
袁淑(南朝宋)袁淑撰(清)严可均辑
袁忠宪集一卷(南朝宋)袁淑撰
袁淑(南朝宋)袁淑撰 丁福保辑
063
南朝宋(六)
庾蔚之(南朝宋)庾蔚之撰(清)严可均辑
颜延之(南朝宋)颜延之撰(明)冯惟讷辑
颜光禄集五卷附录一卷(南朝宋)颜延之撰(明)张燮辑
颜延之集一卷(南朝宋)颜延之撰
颜光禄集(南朝宋)颜延之撰(明)叶绍泰辑
颜延之(南朝宋)颜延之撰(清)严可均辑
颜延年集四卷(南朝宋)颜延之撰
颜延之(南朝宋)颜延之撰 丁福保辑
鲍参军集六卷附录一卷(卷一-三)(南朝宋)鲍照撰(明)张燮辑
064
南朝宋(七)
鲍参军集六卷附录一卷(卷四-六 附录)(南朝宋)鲍照撰(明)张燮辑
鲍明远集十卷(南朝宋)鲍照撰
鲍照(南朝宋)鲍照撰(明)冯惟讷辑
鲍照(南朝宋)鲍照撰(清)严可均辑
鲍照(南朝宋)鲍照撰 丁福保辑
鲍参军集(南朝宋)鲍照撰(明)叶绍泰辑
张畅(南朝宋)张畅撰(清)严可均辑
王僧达(南朝宋)王僧达撰(明)冯惟讷辑
王僧达(南朝宋)王僧达撰(清)严可均辑
王僧达(南朝宋)王僧达撰 丁福保辑
刘瑀(南朝宋)刘瑀撰(清)严可均辑
建平王宏(南朝宋)刘宏撰(清)严可均辑
何偃(南朝宋)何偃撰(明)冯惟讷辑
何偃(南朝宋)何偃撰(清)严可均辑
何偃(南朝宋)何偃撰 丁福保辑
顔竣(南朝宋)顔竣撰(明)冯惟讷辑
顔竣(南朝宋)顔竣撰(清)严可均辑
顔竣(南朝宋)顔竣撰 丁福保辑
竟陵王诞(南朝宋)刘诞撰(清)严可均辑
南平王铄(南朝宋)刘铄撰(明)冯惟讷辑
南平王铄(南朝宋)刘铄撰(清)严可均辑
南平王铄(南朝宋)刘铄撰 丁福保辑
何尚之(南朝宋)何尚之撰(清)严可均辑
周朗(南朝宋)周朗撰(清)严可均辑
沈怀文(南朝宋)沈怀文撰(清)严可均辑
江智渊(南朝宋)江智渊撰(明)冯惟讷辑
江智渊(南朝宋)江智渊撰 丁福保辑
065
南朝宋(八)
孝武帝(南朝宋)孝武帝刘骏撰(明)冯惟讷辑
孝武帝(南朝宋)孝武帝刘骏撰(清)严可均辑
孝武帝(南朝宋)孝武帝刘骏撰 丁福保辑
前废帝(南朝宋)前废帝刘子业撰(清)严可均辑
江夏王义恭(南朝宋)刘义恭撰(明)冯惟讷辑
江夏王义恭(南朝宋)刘义恭撰(清)严可均辑
江夏王义恭(南朝宋)刘义恭撰 丁福保辑
戴法兴(南朝宋)戴法兴撰(清)严可均辑
沈怀远(南朝宋)沈怀远撰(清)严可均辑
裴骃(南朝宋)裴骃撰(清)严可均辑
谢庄(南朝宋)谢庄撰(明)冯惟讷辑
谢光禄集三卷附录一卷(南朝宋)谢庄撰(明)张燮辑
谢庄(南朝宋)谢庄撰(清)严可均辑
谢希逸集三卷(南朝宋)谢庄撰
谢庄(南朝宋)谢庄撰 丁福保辑
谢宣城集六卷附录一卷(南朝宋)谢朓撰(明)张燮辑
谢宣城集五卷(卷一-三)(南朝宋)谢朓撰
066
南朝宋(九)
谢宣城集五卷(卷四-五)(南朝宋)谢朓撰
谢朓(南朝宋)谢朓撰(明)冯惟讷辑
谢朓(南朝宋)谢朓撰(清)严可均辑
谢朓(南朝宋)谢朓撰 丁福保辑
谢宣城诗四卷(南朝宋)谢朓撰
虞通之(南朝宋)虞通之撰(明)冯惟讷辑
虞通之(南朝宋)虞通之撰(清)严可均辑
虞通之(南朝宋)虞通之撰 丁福保辑
孙敻(南朝宋)孙敻撰(清)严可均辑
刘绲(南朝宋)刘绲撰(清)严可均辑
羊希(南朝宋)羊希撰(清)严可均辑
袁伯文(南朝宋)袁伯文撰(明)冯惟讷辑
袁伯文(南朝宋)袁伯文撰(清)严可均辑
袁伯文(南朝宋)袁伯文撰 丁福保辑
孙缅(南朝宋)孙缅撰(清)严可均辑
贺道养(南朝宋)贺道养撰(清)严可均辑
张悦(南朝宋)张悦撰(清)严可均辑
明帝(南朝宋)(明)帝刘彧撰(清)严可均辑
张辩(南朝宋)张辩撰(清)严可均辑
吴迈远(南朝宋)吴迈远撰(明)冯惟讷辑
吴迈远(南朝宋)吴迈远撰 丁福保辑
汤惠休(南朝宋)汤惠休撰(明)冯惟讷辑
汤惠休(南朝宋)汤惠休撰 丁福保辑
王素(南朝宋)王素撰(明)冯惟讷辑
王素(南朝宋)王素撰 丁福保辑
萧惠开(南朝宋)萧惠开撰(清)严可均辑
蔡兴宗(南朝宋)蔡兴宗撰(清)严可均辑
沈勃(南朝宋)沈勃撰(清)严可均辑
刘勔(南朝宋)刘勔撰(清)严可均辑
殷琰(南朝宋)殷琰撰(清)严可均辑
徐爰(南朝宋)徐爰撰(清)严可均辑
张永(南朝宋)张永撰(清)严可均辑
袁粲(南朝宋)袁粲撰(清)严可均辑
张委(南朝宋)张委撰(清)严可均辑
南朝齐(一)
崔祖思(南朝齐)崔祖思撰(清)严可均辑
刘善明(南朝齐)刘善明撰(清)严可均辑
褚渊(南朝齐)褚渊撰(清)严可均辑
顾欢(南朝齐)顾欢撰(明)冯惟讷辑
顾欢(南朝齐)顾欢撰(清)严可均辑
顾欢(南朝齐)顾欢撰 丁福保辑
刘璡(南朝齐)刘璡(清)严可均辑
周颙(南朝齐)周颙撰(清)严可均辑
刘瓛(南朝齐)刘瓛撰(清)严可均辑
王俭(南朝齐)王俭撰(明)冯惟讷辑
王俭(南朝齐)王俭撰(清)严可均辑
王俭(南朝齐)王俭撰 丁福保辑
王僧祐(南朝齐)王僧祐撰(明)冯惟讷辑
王僧祐(南朝齐)王僧祐撰 丁福保辑
067
南朝齐(二)
虞炎(南朝齐)虞炎撰(明)冯惟讷辑
虞炎(南朝齐)虞炎撰(清)严可均辑
虞炎(南朝齐)虞炎撰 丁福保辑
刘瑱(南朝齐)刘瑱撰(明)冯惟讷辑
刘瑱(南朝齐)刘瑱撰 丁福保辑
文惠太子(南朝齐)(南朝齐)萧长懋撰(清)严可均辑
竟陵王子良(南朝齐)萧子良撰(明)冯惟讷辑
竟陵王子良(南朝齐)萧子良撰(清)严可均辑
竟陵王子良(南朝齐)萧子良撰 丁福保辑
王融(南朝齐)王融撰(明)冯惟讷辑
王宁朔集四卷附录一卷(南朝齐)王融撰(明)张燮辑
王宁朔集(南朝齐)王融撰(明)叶绍泰辑
王融(南朝齐)王融撰(清)严可均辑
王融(南朝齐)王融撰 丁福保辑
随郡王萧子隆(南朝齐)萧子隆撰(明)冯惟讷辑
随郡王子隆(南朝齐)萧子隆撰(清)严可均辑
随郡王萧子隆(南朝齐)萧子隆撰 丁福保辑
袁彖(南朝齐)袁彖撰(明)冯惟讷辑
袁彖(南朝齐)袁彖撰(清)严可均辑
袁彖(南朝齐)袁彖撰 丁福保辑
江朝请(南朝齐)江奂撰(明)冯惟讷辑
江朝请(南朝齐)江奂撰 丁福保辑
丘巨源(南朝齐)丘巨源撰(明)冯惟讷辑
丘巨源(南朝齐)丘巨源撰(清)严可均辑
丘巨源(南朝齐)丘巨源撰 丁福保辑
刘虯(南朝齐)刘虯撰(清)严可均辑
刘悛(南朝齐)刘悛撰(清)严可均辑
王寂(南朝齐)王寂撰 丁福保辑
张融(南朝齐)张融撰(明)冯惟讷辑
张融(南朝齐)张融撰(清)严可均辑
张融(南朝齐)张融撰 丁福保辑
徐孝嗣(南朝齐)徐孝嗣撰(明)冯惟讷辑
徐孝嗣(南朝齐)徐孝嗣撰(清)严可均辑
徐孝嗣(南朝齐)徐孝嗣撰 丁福保辑
陆厥(南朝齐)陆厥撰(明)冯惟讷辑
陆厥(南朝齐)陆厥撰(清)严可均辑
陆厥(南朝齐)陆厥撰 丁福保辑
祖冲之(南朝齐)祖冲之撰(清)严可均辑
孔稚珪(南朝齐)孔稚珪撰(明)冯惟讷辑
孔詹事集(南朝齐)孔稚珪撰(明)叶绍泰辑
孔稚珪(南朝齐)孔稚珪撰(清)严可均辑
孔稚珪(南朝齐)孔稚珪撰 丁福保辑
裴昭明(南朝齐)裴昭明撰(清)严可均辑
刘绘(南朝齐)刘绘撰(明)冯惟讷辑
刘绘(南朝齐)刘绘撰(清)严可均辑
刘绘(南朝齐)刘绘撰 丁福保辑
虞羲(南朝齐)虞羲撰(明)冯惟讷辑
虞羲(南朝齐)虞羲撰(清)严可均辑
虞羲(南朝齐)虞羲撰 丁福保辑
南朝梁(一)
沈麟士(南朝梁)沈麟士撰(清)严可均辑
范云(南朝梁)范云撰(明)冯惟讷辑
范云(南朝梁)范云撰(清)严可均辑
范云(南朝梁)范云撰 丁福保辑
宗夬(南朝梁)宗夬撰(明)冯惟讷辑
宗夬(南朝梁)宗夬撰 丁福保辑
司马褧(南朝梁)司马聚撰(清)严可均辑
刘昭(南朝梁)刘昭撰(清)严可均辑
王籍(南朝梁)王籍撰(明)冯惟讷辑
王籍(南朝梁)王籍撰 丁福保辑
谢绰(南朝梁)谢绰撰(清)严可均辑
王巾(南朝梁)王巾撰(清)严可均辑
王揖(南朝梁)王揖撰(清)严可均辑
王揖(南朝梁)王揖撰 丁福保辑
庾昙隆(南朝梁)庾昙隆撰(清)严可均辑
范缜(南朝梁)范缜撰(清)严可均辑
谢朏(南朝梁)谢朏撰(清)严可均辑
068
南朝梁(二)
任昉(南朝梁)任防撰(明)冯惟讷辑
任彦升集六卷(南朝梁)任昉撰
任中丞集六卷附录一卷(南朝梁)任昉撰(明)张燮辑
任彦升集(南朝梁)任昉撰
任中丞集(南朝梁)任昉撰(明)叶绍泰辑
任彦升文抄一卷(南朝梁)任防撰(明)李宾辑
任昉(南朝梁)任昉撰(清)严可均辑
任彦升集五卷(卷一-二)(南朝梁)任昉撰
069
南朝梁(三)
任彦升集五卷(卷三-五)(南朝梁)任昉撰
任昉(南朝梁)任昉撰 丁福保辑
丘迟(南朝梁)丘迟撰(明)冯惟讷辑
丘迟(南朝梁)丘迟撰(清)严可均辑
丘迟(南朝梁)丘迟撰 丁福保辑
刘苞(南朝梁)刘苞撰(明)冯惟讷辑
刘苞(南朝梁)刘苞撰 丁福保辑
虞嚼(南朝梁)虞嚼撰(清)严可均辑
梁沈约集一卷(南朝梁)沈约撰
沈约(南朝梁)沈约撰(明)冯惟讷辑
沈休文集五卷(南朝梁)沈约撰
070
南朝梁(四)
沈隐侯集四卷(南朝梁)沈约撰
沈隐侯集十六卷附录一卷(卷一-七)(南朝梁)沈约撰(明)张燮辑
071
南朝梁(五)
沈隐侯集十六卷附录一卷(卷八-十六 附录)(南朝梁)沈约撰(明)张燮辑
沈隐侯集(南朝梁)沈约撰(明)叶绍泰辑
沈休文文抄一卷(南朝梁)沈约撰(明)李宾辑
沈约(南朝梁)沈约撰(清)严可均辑
072
南朝梁(六)
沈休文集九卷(南朝梁)沈约撰
沈约(南朝梁)沈约撰 丁福保辑
柳憕(南朝梁)柳憕撰(清)严可均辑
范岫(南朝梁)范岫撰(清)严可均辑
柳恽(南朝梁)柳恽撰(明)冯惟讷辑
柳恽(南朝梁)柳恽撰(清)严可均辑
柳恽(南朝梁)柳恽撰 丁福保辑
安成王秀(南朝梁)萧秀撰(清)严可均辑
费昶(南朝梁)费昶撰(明)冯惟讷辑
费昶(南朝梁)费昶撰 丁福保辑
谢瑱(南朝梁)谢瑱撰(明)冯惟讷辑
谢瑱(南朝梁)谢瑱撰 丁福保辑
何水部集二卷(南朝梁)何逊撰
何逊(南朝梁)何逊撰(明)冯惟讷辑
何记室集三卷附录一卷(南朝梁)何逊撰(明)张燮辑
073
南朝梁(七)
何逊(南朝梁)何逊撰(清)严可均辑
何逊(南朝梁)何逊撰 丁福保辑
刘歊(南朝梁)刘歊撰(清)严可均辑
释智藏(南朝梁)释智藏撰(明)冯惟讷辑
释智藏(南朝梁)释智藏撰(清)严可均辑
释智藏(南朝梁)释智藏撰 丁福保辑
孔翁归(南朝梁)孔翁归撰(明)冯惟讷辑
孔翁归(南朝梁)孔翁归撰 丁福保辑
吴均(南朝梁)吴均撰(明)冯惟讷辑
吴朝请集三卷附录一卷(南朝梁)吴均撰(明)张燮辑
吴均(南朝梁)吴均撰(清)严可均辑
吴均(南朝梁)吴均撰 丁福保辑
周兴嗣(南朝梁)周兴嗣撰(明)冯惟讷辑
周兴嗣(南朝梁)周兴嗣撰(清)严可均辑
周兴嗣(南朝梁)周兴嗣撰 丁福保辑
刘峻(南朝梁)刘峻撰(明)冯惟讷辑
刘户曹集二卷附录一卷(南朝梁)刘峻撰(明)张燮辑
刘孝标文抄一卷(南朝梁)刘峻撰(明)李宾辑
刘峻(南朝梁)刘峻撰(清)严可均辑
刘峻(南朝梁)刘峻撰 丁福保辑
王僧孺(南朝梁)王僧孺撰(明)冯惟讷辑
王左丞集三卷附录一卷(南朝梁)王僧孺撰(明)张燮辑
王左丞集(南朝梁)王僧孺撰(明)叶绍泰辑
王僧孺(南朝梁)王僧孺撰(清)严可均辑
王僧孺(南朝梁)王僧孺撰 丁福保辑
074
南朝梁(八)
江洪(南朝梁)江洪撰(明)冯惟讷辑
江洪(南朝梁)江洪撰 丁福保辑
王暕(南朝梁)王暕撰(明)冯惟讷辑
王暕(南朝梁)王暕撰(清)严可均辑
王暕(南朝梁)王暕撰 丁福保辑
周捨(南朝梁)周捨撰(明)冯惟讷辑
周捨(南朝梁)周捨撰(清)严可均辑
周捨(南朝梁)周捨撰 丁福保辑
萧洽(南朝梁)萧洽撰 丁福保辑
谢几卿(南朝梁)谢几卿撰(清)严可均辑
陆倕(南朝梁)陆倕撰(明)冯惟讷辑
陆太常集二卷附录一卷(南朝梁)陆倕撰(明)张燮辑
陆倕(南朝梁)陆倕撰(清)严可均辑
陆倕(南朝梁)陆倕撰 丁福保辑
到洽(南朝梁)到洽撰(清)严可均辑
到洽(南朝梁)到洽撰 丁福保辑
张率(南朝梁)张率撰(明)冯惟讷辑
张率(南朝梁)张率撰(清)严可均辑
张率(南朝梁)张率撰 丁福保辑
王冏(南朝梁)王冏撰(明)冯惟讷辑
王冏(南朝梁)王冏撰 丁福保辑
刘霁(南朝梁)刘霁撰(明)冯惟讷辑
刘霁(南朝梁)霁霁撰 丁福保辑
许懋(南朝梁)许懋撰(清)严可均辑
梁昭明太子文集五卷(南朝梁)萧统撰
梁昭明太子文集札记一卷考异一卷(札记)刘世珩撰(考异)庞树韡撰
昭明太子(南朝梁)萧统撰(明)冯惟讷辑
昭明太子集五卷附录一卷(卷一-四)(南朝梁)萧统撰(明)张燮辑
075
南朝梁(九)
昭明太子集五卷附录一卷(卷五 附录)(南朝梁)萧统撰(明)张燮辑
昭明太子集(南朝梁)萧统撰(明)叶绍泰辑
梁昭明文抄一卷(南朝梁)萧统撰(明)李宾辑
昭明太子统(南朝梁)萧统撰(清)严可均辑
昭明太子集四卷(南朝梁)萧统撰
昭明太子(南朝梁)萧统撰 丁福保辑
张缅(南朝梁)张缅撰(清)严可均辑
裴子野(南朝梁)裴子野撰(明)冯惟讷辑
裴子野(南朝梁)裴子野撰(清)严可均辑
裴子野(南朝梁)裴子野撰 丁福保辑
何思澄(南朝梁)何思澄撰(明)冯惟讷辑
何思澄(南朝梁)何思澄撰 丁福保辑
萧琛(南朝梁)萧琛撰(明)冯惟讷辑
萧琛(南朝梁)萧琛撰(清)严可均辑
萧琛(南朝梁)萧琛撰 丁福保辑
王锡(南朝梁)王锡撰(明)冯惟讷辑
王锡(南朝梁)王锡撰(清)严可均辑
王锡(南朝梁)王锡撰 丁福保辑
徐勉(南朝梁)徐勉撰(明)冯惟讷辑
徐勉(南朝梁)徐勉撰(清)严可均辑
徐勉(南朝梁)徐勉撰 丁福保辑
江革(南朝梁)江革撰(明)冯惟讷辑
江革(南朝梁)江革撰(清)严可均辑
江革(南朝梁)江革撰 丁福保辑
王规(南朝梁)王规撰(明)冯惟讷辑
王规(南朝梁)王规撰 丁福保辑
谢微(南朝梁)谢微撰(明)冯惟讷辑
谢微(南朝梁)谢微撰 丁福保辑
萧子显(南朝梁)萧子显撰(明)冯惟讷辑
萧子显(南朝梁)萧子显撰(清)严可均辑
萧子显(南朝梁)萧子显撰 丁福保辑
萧子晖(南朝梁)萧子晖撰(明)冯惟讷辑
萧子晖(南朝梁)萧子晖撰(清)严可均辑
萧子晖(南朝梁)萧子晖撰 丁福保辑
梁刘孝绰集一卷(南朝梁)刘孝绰撰
刘孝绰(南朝梁)刘孝绰撰(明)冯惟讷辑
刘秘书集二卷附录一卷(卷一)(南朝梁)刘孝绰撰(明)张燮辑
076
南朝梁(十)
刘秘书集二卷附录一卷(卷二 附录)(南朝梁)刘孝绰撰(明)张燮辑
刘孝绰(南朝梁)刘孝绰撰(清)严可均辑
刘孝绰(南朝梁)刘孝绰撰 丁福保辑
徐悱妻刘氏(南朝梁)刘令娴撰(明)冯惟讷辑
刘令娴(南朝梁)刘令娴撰(清)严可均辑
徐悱妻刘氏(南朝梁)刘令娴撰 丁福保辑
刘缓(南朝梁)刘缓撰(明)冯惟讷辑
刘缓(南朝梁)刘缓撰(清)严可均辑
刘缓(南朝梁)刘缓撰 丁福保辑
华阳陶隐居集二卷(南朝梁)陶弘景撰
贞白先生陶隐居文集一卷(南朝梁)陶弘景撰
陶贞白集二卷(南朝梁)陶弘景撰
陶弘景(南朝梁)陶弘景撰(明)冯惟讷辑
陶隐居集四卷附录一卷(南朝梁)陶弘景撰(明)张燮辑
陶通明集(南朝梁)陶弘景撰
077
南朝梁(十一)
陶隐居集(南朝梁)陶弘景撰(明)叶绍泰辑
陶通明文抄一卷(南朝梁)陶弘景撰(明)李宾辑
贞白先生陶隐居文集一卷(南朝梁)陶弘景撰(清)刘喜海校
陶弘景(南朝梁)陶弘景撰(清)严可均辑
华阳陶隐居集二卷(南朝梁)陶弘景撰
陶贞白集一卷附录一卷校勘记一卷(南朝梁)陶弘景撰(校勘记)(清)汪振之撰
陶弘景(南朝梁)陶弘景撰 丁福保辑
袁昂(南朝梁)袁昂撰(清)严可均辑
刘孺(南朝梁)刘孺撰(明)冯惟讷辑
刘孺(南朝梁)刘孺撰 丁福保辑
陆云公(南朝梁)陆云公撰(清)严可均辑
陆云公(南朝梁)陆云公撰 丁福保辑
任孝恭(南朝梁)任孝恭撰(清)严可均辑
朱异(南朝梁)朱异撰(明)冯惟讷辑
朱异(南朝梁)朱异撰(清)严可均辑
朱异(南朝梁)朱异撰 丁福保辑
到溉(南朝梁)到溉撰(明)冯惟讷辑
到溉(南朝梁)到溉撰 丁福保辑
刘之遴(南朝梁)刘之遴撰(明)冯惟讷辑
刘之遴(南朝梁)刘之遴撰(清)严可均辑
刘之遴(南朝梁)刘之遴撰 丁福保辑
谢郁(南朝梁)谢郁撰(清)严可均辑
庾仲容(南朝梁)庾仲容撰(明)冯惟讷辑
庾仲容(南朝梁)庾仲容撰 丁福保辑
伏挺(南朝梁)伏挺撰(明)冯惟讷辑
伏挺(南朝梁)伏挺撰(清)严可均辑
伏挺(南朝梁)伏挺撰 陈蜚声辑
伏挺(南朝梁)伏挺撰 丁福保辑
梁刘孝威集一卷(南朝梁)刘孝威撰
刘孝威(南朝梁)刘孝威撰(明)冯惟讷辑
刘庶子集二卷附录一卷(南朝梁)刘孝威撰(明)张燮辑
刘孝威(南朝梁)刘孝威撰(清)严可均辑
刘孝威(南朝梁)刘孝威撰 丁福保辑
何子朗(南朝梁)何子朗撰(明)冯惟讷辑
何子朗(南朝梁)何子朗撰 丁福保辑
谢举(南朝梁)谢举撰(明)冯惟讷辑
谢举(南朝梁)谢举撰(清)严可均辑
谢举(南朝梁)谢举撰 丁福保辑
梁武帝集一卷(南朝梁)武帝萧衍撰
武帝(南朝梁)武帝萧衍撰(明)冯惟讷辑
078
南朝梁(十二)
梁武帝集八卷(南朝梁)武帝萧衍撰(明)阎光世辑
梁武帝御製集十二卷附录一卷(卷一-十一)(南朝梁)武帝萧衍撰(明)张燮辑
079
南朝梁(十三)
梁武帝御製集十二卷附录一卷(卷十二 附录)(南朝梁)武帝萧衍撰(明)张燮辑
梁武帝集(南朝梁)武帝萧衍撰(明)叶绍泰辑
武帝(南朝梁)武帝萧衍撰(清)严可均辑
梁武帝集八卷(南朝梁)武帝萧衍撰
武帝(南朝梁)武帝萧衍撰 丁福保辑
王筠(南朝梁)王筠撰(明)冯惟讷辑
王詹事集二卷附录一卷(南朝梁)王筠撰(明)张燮辑
王筠(南朝梁)王筠撰(清)严可均辑
王筠(南朝梁)王筠撰 丁福保辑
080
南朝梁(十四)
萧子范(南朝梁)萧子范撰(明)冯惟讷辑
萧子范(南朝梁)萧子范撰(清)严可均辑
萧子范(南朝梁)萧子范撰 丁福保辑
张缵(南朝梁)张缵撰(明)冯惟讷辑
张缵(南朝梁)张缵撰(清)严可均辑
张缵(南朝梁)张缵撰 丁福保辑
邵陵王纶(南朝梁)萧纶撰(明)冯惟讷辑
邵陵王纶(南朝梁)萧纶撰(清)严可均辑
邵陵王纶(南朝梁)萧纶撰 丁福保辑
萧子云(南朝梁)萧子云撰(明)冯惟讷辑
萧子云(南朝梁)萧子云撰(清)严可均辑
萧子云(南朝梁)萧子云撰 丁福保辑
刘孝仪(南朝梁)刘潜撰(明)冯惟讷辑
刘豫章集二卷附录一卷(南朝梁)刘潜撰(明)张燮辑
刘潜(南朝梁)刘潜撰(清)严可均辑
刘孝仪(南朝梁)刘潜撰 丁福保辑
鲍机(南朝梁)鲍机撰(明)冯惟讷辑
鲍机(南朝梁)鲍机撰 丁福保辑
庾肩吾(南朝梁)庾肩吾撰(明)冯惟讷辑
庾度支集四卷附录一卷(南朝梁)庾肩吾撰(明)张燮辑
庾度支集(南朝梁)庾肩吾撰(明)叶绍泰辑
庾肩吾(南朝梁)庾肩吾撰(清)严可均辑
庾肩吾(南朝梁)庾肩吾撰 丁福保辑
梁简文帝集二卷(南朝梁)简文帝萧纲撰
简文帝(南朝梁)简文帝萧纲撰(明)冯惟讷辑
081
南朝梁(十五)
梁简文帝集十四卷(南朝梁)简文帝萧纲撰(明)阎光世辑
梁简文帝御製集十六卷附录一卷(卷一-五)(南朝梁)简文帝萧纲撰(明)张燮辑
082
南朝梁(十六)
梁简文帝御製集十六卷附录一卷(卷六-十六 附录)(南朝梁)简文帝萧纲撰(明)张燮辑
梁简文帝集(南朝梁)简文帝萧纲撰(明)叶绍泰辑
梁简文文抄一卷(南朝梁)简文帝萧纲撰(明)李宾辑
简文帝(南朝梁)简文帝萧纲撰(清)严可均辑
083
南朝梁(十七)
梁简文帝集八卷(南朝梁)简文帝萧纲撰
简文帝(南朝梁)简文帝萧纲撰 丁福保辑
武陵王纪(南朝梁)萧纪撰(明)冯惟讷辑
武陵王纪(南朝梁)萧纪撰 丁福保辑
鲍泉(南朝梁)鲍泉撰(明)冯惟讷辑
鲍泉(南朝梁)鲍泉撰 丁福保辑
张绾(南朝梁)张绾撰(清)严可均辑
梁元帝集一卷(南朝梁)元帝萧绎撰
元帝(南朝梁)元帝萧绎撰(明)冯惟讷辑
梁元帝集八卷(南朝梁)元帝萧绎撰(明)阎光世辑
084
南朝梁(十八)
梁元帝御製集十卷附录一卷(南朝梁)元帝萧绎撰(明)张燮辑
梁元帝集(南朝梁)元帝萧绎撰(明)叶绍泰辑
元帝(南朝梁)元帝萧绎撰(清)严可均辑
梁元帝集五卷(南朝梁)元帝萧绎撰
元帝(南朝梁)元帝萧绎撰 丁福保辑
江醴陵集十四卷附录一卷(卷一)(南朝梁)江淹撰(明)张燮辑
085
南朝梁(十九)
江醴陵集十四卷附录一卷(卷二-十四 附录)(南朝梁)江淹撰(明)张燮辑
江文通集十卷(卷一-八)(南朝梁)江淹撰
086
南朝梁(二十)
江文通集十卷(卷九-十)(南朝梁)江淹撰
江文通集(南朝梁)江淹撰(明)叶绍泰辑
江淹(南朝梁)江淹撰(明)冯惟讷辑
江淹(南朝梁)江淹撰(清)严可均辑
江淹(南朝梁)江淹撰 丁福保辑
甄玄成(南朝梁)甄玄成撰(清)严可均辑
梁宣帝集一卷(南朝梁)宣帝萧詧撰
宣帝(南朝梁)宣帝萧詧撰(明)冯惟讷辑
后梁宣帝(南朝梁)宣帝萧詧撰(清)严可均辑
宣帝(南朝梁)宣帝萧詧撰 丁福保辑
沈君游(南朝梁)沈君游撰(明)冯惟讷辑
沈君游(南朝梁)沈君游撰 丁福保辑
萧欣(南朝梁)萧欣撰(明)冯惟讷辑
萧欣(南朝梁)萧欣撰(清)严可均辑
萧欣(南朝梁)萧欣撰 丁福保辑
朱超道(南朝梁)朱超道撰(明)冯惟讷辑
朱超道(南朝梁)朱超道撰 丁福保辑
明帝(南朝梁)(明)帝萧[山归]撰(清)严可均辑
萧琮(南朝梁)萧琮撰(明)冯惟讷辑
后主(南朝梁)萧琮撰(清)严可均辑
萧琮(南朝梁)萧琮撰 丁福保辑
范静妻沈氏(南朝梁)沈满愿撰(明)冯惟讷辑
范静妻沈氏(南朝梁)沈满愿撰 丁福保辑
南朝陈(一)
杜之伟(南朝陈)杜之伟撰(清)严可均辑
沈炯(南朝陈)沈炯撰(明)冯惟讷辑
沈侍中集三卷附录一卷(南朝陈)沈炯撰(明)张燮辑
沈炯(南朝陈)沈炯撰(清)严可均辑
沈炯(南朝陈)沈炯撰 丁福保辑
释洪偃(南朝陈)释洪偃撰(明)冯惟讷辑
释洪偃(南朝陈)释洪偃撰 丁福保辑
江德藻(南朝陈)江德藻撰(清)严可均辑
阴常侍集一卷(南朝陈)阴铿撰
阴铿(南朝陈)阴铿撰(明)冯惟讷辑
阴常侍诗集一卷(南朝陈)阴铿撰
阴常侍诗集一卷(南朝陈)阴铿撰(清)张澍辑
阴铿(南朝陈)阴铿撰 丁福保辑
袁枢(南朝陈)袁枢撰(清)严可均辑
庾持(南朝陈)庾持撰(清)严可均辑
许亨(南朝陈)许亨撰(清)严可均辑
张种(南朝陈)张种撰(清)严可均辑
释惠标(南朝陈)释惠标撰(明)冯惟讷辑
释惠标(南朝陈)释惠标撰 丁福保辑
087
南朝陈(二)
周弘正(南朝陈)周弘正撰(明)冯惟讷辑
周弘正(南朝陈)周弘正撰(清)严可均辑
周弘正(南朝陈)周弘正撰 丁福保辑
周弘让(南朝陈)周弘让撰(明)冯惟讷辑
周弘让(南朝陈)周弘让撰(清)严可均辑
周弘让(南朝陈)周弘让撰 丁福保辑
张正见(南朝陈)张正见撰(明)冯惟讷辑
张散骑集二卷附录一卷(南朝陈)张正见撰(明)张燮辑
张正见(南朝陈)张正见撰(清)严可均辑
张正见(南朝陈)张正见撰 丁福保辑
周弘直(南朝陈)周弘直撰(明)冯惟讷辑
周弘直(南朝陈)周弘直撰(清)严可均辑
周弘直(南朝陈)周弘直撰 丁福保辑
陆玠(南朝陈)陆玠撰(明)冯惟讷辑
陆玠(南朝陈)陆玠撰 丁福保辑
蔡景历(南朝陈)蔡景历撰(清)严可均辑
岑之敬(南朝陈)岑之敬撰(明)冯惟讷辑
岑之敬(南朝陈)岑之敬撰 丁福保辑
沈不害(南朝陈)沈不害撰(清)严可均辑
褚玠(南朝陈)褚玠撰(明)冯惟讷辑
褚玠(南朝陈)褚玠撰(清)严可均辑
褚玠(南朝陈)褚玠撰 丁福保辑
顾野王(南朝陈)顾野王撰(明)冯惟讷辑
顾野王(南朝陈)顾野王撰(清)严可均辑
顾野王(南朝陈)顾野王撰 丁福保辑
昙瑗(南朝陈)释昙瑗撰(明)冯惟讷辑
释昙瑷(南朝陈)释昙瑗撰(清)严可均辑
昙瑗(南朝陈)释昙瑗撰 丁福保辑
徐陵(南朝陈)徐陵撰(明)冯惟讷辑
徐孝穆集七卷(南朝陈)徐陵撰
徐僕射集十卷附录一卷(卷一-七)(南朝陈)徐陵撰(明)张燮辑
088
南朝陈(三)
徐僕射集十卷附录一卷(卷八-十 附录)(南朝陈)徐陵撰(明)张燮辑
徐孝穆集(南朝陈)徐陵撰
徐僕射集(南朝陈)徐陵撰(明)叶绍泰辑
徐孝穆文抄一卷(南朝陈)徐陵撰(明)李宾辑
徐孝穆全集六卷备考一卷(卷一-四)(南朝陈)徐陵撰(清)吴兆宜笺注(备考)(清)徐文炳

089
南朝陈(四)
徐孝穆全集六卷备考一卷(卷五-六 备考)(南朝陈)徐陵撰(清)吴兆宜笺注(备考)(清)
徐文炳撰
徐陵(南朝陈)徐陵撰(清)严可均辑
徐陵(南朝陈)徐陵撰 丁福保辑
孔奂(南朝陈)孔奂撰(明)冯惟讷辑
孔奂(南朝陈)孔奂撰 丁福保辑
陆瑜(南朝陈)陆瑜撰(明)冯惟讷辑
陆瑜(南朝陈)陆瑜撰(清)严可均辑
陆瑜(南朝陈)陆瑜撰 丁福保辑
傅縡(南朝陈)傅縡撰(明)冯惟讷辑
傅縡(南朝陈)傅縡撰(清)严可均辑
傅縡(南朝陈)傅縡撰 丁福保辑
陆琼(南朝陈)陆琼撰(明)冯惟讷辑
陆琼(南朝陈)陆琼撰(清)严可均辑
陆琼(南朝陈)陆琼撰 丁福保辑
毛喜(南朝陈)毛喜撰(清)严可均辑
江总(南朝陈)江总撰(明)冯惟讷辑
江令君集五卷附录一卷(南朝陈)江总撰(明)张燮辑
江令君集(南朝陈)江总撰(明)叶绍泰辑
江总(南朝陈)江总撰(清)严可均辑
江总(南朝陈)江总撰 丁福保辑
090
南朝陈(五)
陈后主集一卷(南朝陈)后主陈叔宝撰
后主(南朝陈)后主陈叔宝撰
陈后主集三卷附录一卷(南朝陈)后主陈叔宝撰(明)张燮辑
后主(南朝陈)后主陈叔宝撰(清)严可均辑
陈后主集二卷(南朝陈)后主陈叔宝撰
后主(南朝陈)后主陈叔宝撰 丁福保辑
姚察(南朝陈)姚察撰(明)冯惟讷辑
姚察(南朝陈)姚察撰(清)严可均辑
姚察(南朝陈)姚察撰 丁福保辑
后主沈后(南朝陈)沈婺华撰(清)严可均辑
(北魏)(一)
宗钦(北魏)宗钦撰(明)冯惟讷辑
宗钦(北魏)宗钦撰(清)严可均辑
宗钦(北魏)宗钦撰 丁福保辑
程骏(北魏)程骏撰(清)严可均辑
高允(北魏)高允撰(明)冯惟讷辑
高令公集二卷附录一卷(北魏)高允撰(明)张燮辑
高允(北魏)高允撰(清)严可均辑
高令公集一卷(北魏)高允撰
高允(北魏)高允撰 丁福保辑
孝文帝(北魏)孝文帝拓跋宏撰(明)冯惟讷辑
孝文帝(北魏)孝文帝拓跋宏撰(清)严可均辑
孝文帝(北魏)孝文帝拓跋宏撰 丁福保辑
091
北魏(二)
韩显宗(北魏)韩显宗撰(清)严可均辑
李彪(北魏)李彪撰(清)严可均辑
高闾(北魏)高闾撰(清)严可均辑
李平(北魏)李平撰(清)严可均辑
崔光(北魏)崔光撰(清)严可均辑
阳固(北魏)阳固撰(明)冯惟讷辑
阳固(北魏)阳固撰(清)严可均辑
阳固(北魏)阳固撰 丁福保辑
袁曜(北魏)袁曜撰(明)冯惟讷辑
袁曜(北魏)袁曜撰 丁福保辑
冯元兴(北魏)冯元兴撰(明)冯惟讷辑
冯元兴(北魏)冯元兴撰 丁福保辑
李骞(北魏)李骞撰(明)冯惟讷辑
李骞(北魏)李骞撰(清)严可均辑
李骞(北魏)李骞撰 丁福保辑
祖莹(北魏)祖莹撰(明)冯惟讷辑
祖莹(北魏)祖莹撰(清)严可均辑
祖莹(北魏)祖莹撰 丁福保辑
温子昇(北魏)温子昇撰(明)冯惟讷辑
温侍读集二卷附录一卷(北魏)温子昇撰(明)张燮辑
温子昇(北魏)温子昇撰(清)严可均辑
温子昇(北魏)温子昇撰 丁福保辑
卢元明(北魏)卢元明撰(明)冯惟讷辑
卢元明(北魏)卢元明撰(清)严可均辑
卢元明(北魏)卢元明撰 丁福保辑
薛孝通(北魏)薛孝通撰(清)严可均辑
李谐(北魏)李谐撰(清)严可均辑
常景(北魏)常景撰(明)冯惟讷辑
常景(北魏)常景撰(清)严可均辑
常景(北魏)常景撰 丁福保辑
北齐
卢询祖(北齐)卢询祖撰(明)冯惟讷辑
卢询祖(北齐)卢询祖撰(清)严可均辑
卢询祖(北齐)卢询祖撰 丁福保辑
杨愔(北齐)杨愔撰(清)严可均辑
邢邵(北齐)邢邵撰(明)冯惟讷辑
邢特进集二卷附录一卷(北齐)邢邵撰(明)张燮辑
邢邵(北齐)邢邵撰(清)严可均辑
邢邵(北齐)邢邵撰 丁福保辑
崔瞻(北齐)崔瞻撰(清)严可均辑
魏收(北齐)魏收撰(明)冯惟讷辑
魏特进集三卷附录一卷(北齐)魏收撰(明)张燮辑
魏收(北齐)魏收撰(清)严可均辑
魏收(北齐)魏收撰 丁福保辑
刘逖(北齐)刘逖撰(明)冯惟讷辑
刘逖(北齐)刘逖撰(清)严可均辑
刘逖(北齐)刘逖撰 丁福保辑
李概(北齐)李概撰(清)严可均辑
阳休之(北齐)阳休之撰(明)冯惟讷辑
阳休之(北斋)阳休之撰(清)严可均辑
阳休之(北齐)阳休之撰 丁福保辑
萧慤(北齐)萧慤撰(明)冯惟讷辑
萧慤(北齐)萧慤撰(清)严可均辑
萧慤(北齐)萧慤撰 丁福保辑
颜之推(北齐)颜之推撰(明)冯惟讷辑
颜之推(北齐)颜之推撰(清)严可均辑
颜之推(北齐)颜之推撰 丁福保辑
北周(一)
后周明帝集一卷(北周)明帝宇文毓撰
明帝(北周)明帝宇文毓撰(明)冯惟讷辑
明帝(北周)明帝宇文毓撰(清)严可均辑
明帝(北周)明帝宇文毓撰 丁福保辑
092
北周(二)
示懔(北周)宗懔撰(明)冯惟讷辑
示懔(北周)宗懔撰 丁福保辑
释亡名(北周)释亡名撰(明)冯惟讷辑
亡名(北周)释亡名撰(清)严可均辑
释亡名(北周)释亡名撰 丁福保辑
刘璠(北周)刘璠撰(清)严可均辑
萧撝(北周)萧撝撰(明)冯惟讷辑
萧撝(北周)萧撝撰(清)严可均辑
萧撝(北周)萧撝撰 丁福保辑
王子渊集一卷(北周)王褒撰
王褒(北周)王褒撰(明)冯惟讷辑
王司空集三卷附录一卷(北周)王褒撰(明)张燮辑
王司空集(北周)王褒撰(明)叶绍泰辑
王褒(北周)王褒撰(清)严可均辑
王褒(北周)王褒撰 丁福保辑
赵王招(北周)宇文招撰(明)冯惟讷辑
赵王招(北周)宇文招撰 丁福保辑
滕王逌(北周)宇文逌撰(明)冯惟讷辑
滕王逌(北周)宇文逌撰(清)严可均辑
滕王逌(北周)宇文逌撰 丁福保辑
庾开府诗集四卷(北周)庾信撰
庾开府集二卷(北周)庾信撰
庾开府诗集六卷(卷一-三)(北周)庾信撰
093
北周(三)
庾开府诗集六卷(卷四-六)(北周)庾信撰
庾信(北周)庾信撰(明)冯惟讷辑
庾开府集十二卷(北周)庾信撰
094
北周(四)
庾开府集十六卷附录一卷(北周)庾信撰(明)张燮辑
095
北周(五)
庾子山集(北周)庾信撰
庾开府集(北周)庾信撰(明)叶绍泰辑
庾子山文抄一卷(北周)庾信撰(明)李宾辑
庾子山全集十卷(卷一-四)(北周)庾信撰(清)吴兆宜笺注
096
北周(六)
庾子山全集十卷(卷五-十)(北周)庾信撰(清)吴兆宜笺注
097
北周(七)
庾子山集十六卷总释一卷(卷一-四)(北周)庾信撰(清)倪璠注
098
北周(八)
庾子山集十六卷总释一卷(卷五-十三)(北周)庾信撰(清)倪璠注
099
北周(九)
庾子山集十六卷总释一卷(卷十四-十六 总释)(北周)庾信撰(清)倪璠注
庾信(北周)庾信撰(清)严可均辑
100
北周(十)
庾开府集二卷(北周)庾信撰
庾开府集辨讹考异(清)胡凤丹纂
庾信(北周)庾信撰 丁福保辑
萧大圜(北周)萧大圜撰(清)严可均辑
萧圆肃(北周)萧圆肃撰(清)严可均辑
诗文评
文章流别一卷(晋)挚虞撰(明)叶绍泰辑
文章流别论(晋)挚虞撰(清)严可均辑
文章流别志论一卷(晋)挚虞撰 张鹏一校补
翰林论(晋)李充撰(清)严可均辑

目录介绍如下:

├─集部辑佚文献汇编-001 (0 folders, 15 files, 3.95 GB, 3.95 GB in total.)
│001集部辑佚文献汇编 01.pdf 274.81 MB
│002集部辑佚文献汇编 02.pdf 275.47 MB
│003集部辑佚文献汇编 03.pdf 263.55 MB
│004集部辑佚文献汇编 04.pdf 285.27 MB
│005集部辑佚文献汇编 05.pdf 261.16 MB
│006集部辑佚文献汇编 06.pdf 264.64 MB
│007集部辑佚文献汇编 07.pdf 269.59 MB
│008集部辑佚文献汇编 08.pdf 263.42 MB
│009集部辑佚文献汇编 09.pdf 256.40 MB
│010集部辑佚文献汇编 10.pdf 264.39 MB
│011集部辑佚文献汇编 11.pdf 218.25 MB
│012集部辑佚文献汇编 12.pdf 297.87 MB
│013集部辑佚文献汇编 13.pdf 352.14 MB
│014集部辑佚文献汇编 14.pdf 234.58 MB
│015集部辑佚文献汇编 15.pdf 264.71 MB
├─集部辑佚文献汇编-002 (0 folders, 15 files, 3.88 GB, 3.88 GB in total.)
│016集部辑佚文献汇编 16.pdf 229.70 MB
│017集部辑佚文献汇编 17.pdf 249.79 MB
│018集部辑佚文献汇编 18.pdf 239.55 MB
│019集部辑佚文献汇编 19.pdf 227.65 MB
│020集部辑佚文献汇编 20.pdf 264.70 MB
│021集部辑佚文献汇编 21.pdf 245.50 MB
│022集部辑佚文献汇编 22.pdf 288.11 MB
│023集部辑佚文献汇编 23.pdf 249.37 MB
│024集部辑佚文献汇编 24.pdf 281.87 MB
│025集部辑佚文献汇编 25.pdf 259.46 MB
│026集部辑佚文献汇编 26.pdf 359.16 MB
│027集部辑佚文献汇编 27.pdf 256.32 MB
│028集部辑佚文献汇编 28.pdf 257.50 MB
│029集部辑佚文献汇编 29.pdf 264.54 MB
│030集部辑佚文献汇编 30.pdf 296.36 MB
├─集部辑佚文献汇编-003 (0 folders, 15 files, 3.85 GB, 3.85 GB in total.)
│031集部辑佚文献汇编 31.pdf 284.42 MB
│032集部辑佚文献汇编 32.pdf 317.67 MB
│033集部辑佚文献汇编 33.pdf 272.69 MB
│034集部辑佚文献汇编 34.pdf 324.30 MB
│035集部辑佚文献汇编 35.pdf 286.69 MB
│036集部辑佚文献汇编 36.pdf 285.30 MB
│037集部辑佚文献汇编 37.pdf 261.58 MB
│038集部辑佚文献汇编 38.pdf 273.04 MB
│039集部辑佚文献汇编 39.pdf 239.49 MB
│040集部辑佚文献汇编 40.pdf 217.51 MB
│041集部辑佚文献汇编 41.pdf 226.79 MB
│042集部辑佚文献汇编 42.pdf 233.32 MB
│043集部辑佚文献汇编 43.pdf 228.33 MB
│044集部辑佚文献汇编 44.pdf 252.82 MB
│045集部辑佚文献汇编 45.pdf 238.00 MB
├─集部辑佚文献汇编-004 (0 folders, 15 files, 3.86 GB, 3.86 GB in total.)
│046集部辑佚文献汇编 46.pdf 236.89 MB
│047集部辑佚文献汇编 47.pdf 242.04 MB
│048集部辑佚文献汇编 48.pdf 242.20 MB
│049集部辑佚文献汇编 49.pdf 271.25 MB
│050集部辑佚文献汇编 50.pdf 263.99 MB
│051集部辑佚文献汇编 51.pdf 279.84 MB
│052集部辑佚文献汇编 52.pdf 274.30 MB
│053集部辑佚文献汇编 53.pdf 291.47 MB
│054集部辑佚文献汇编 54.pdf 269.30 MB
│055集部辑佚文献汇编 55.pdf 270.98 MB
│056集部辑佚文献汇编 56.pdf 277.20 MB
│057集部辑佚文献汇编 57.pdf 243.48 MB
│058集部辑佚文献汇编 58.pdf 277.21 MB
│059集部辑佚文献汇编 59.pdf 235.20 MB
│060集部辑佚文献汇编 60.pdf 279.67 MB
├─集部辑佚文献汇编-005 (0 folders, 14 files, 3.88 GB, 3.88 GB in total.)
│061集部辑佚文献汇编 61.pdf 240.33 MB
│062集部辑佚文献汇编 62.pdf 333.26 MB
│063集部辑佚文献汇编 63.pdf 303.06 MB
│064集部辑佚文献汇编 64.pdf 302.25 MB
│065集部辑佚文献汇编 65.pdf 304.64 MB
│066集部辑佚文献汇编 66.pdf 247.82 MB
│067集部辑佚文献汇编 67.pdf 271.32 MB
│068集部辑佚文献汇编 68.pdf 290.67 MB
│069集部辑佚文献汇编 69.pdf 307.90 MB
│070集部辑佚文献汇编 70.pdf 246.18 MB
│071集部辑佚文献汇编 71.pdf 262.49 MB
│072集部辑佚文献汇编 72.pdf 264.66 MB
│073集部辑佚文献汇编 73.pdf 299.45 MB
│074集部辑佚文献汇编 74.pdf 301.46 MB
├─集部辑佚文献汇编-006 (0 folders, 13 files, 3.74 GB, 3.74 GB in total.)
│075集部辑佚文献汇编 75.pdf 308.73 MB
│076集部辑佚文献汇编 76.pdf 298.33 MB
│077集部辑佚文献汇编 77.pdf 300.70 MB
│078集部辑佚文献汇编 78.pdf 251.88 MB
│079集部辑佚文献汇编 79.pdf 319.59 MB
│080集部辑佚文献汇编 80.pdf 323.22 MB
│081集部辑佚文献汇编 81.pdf 268.04 MB
│082集部辑佚文献汇编 82.pdf 285.25 MB
│083集部辑佚文献汇编 83.pdf 287.09 MB
│084集部辑佚文献汇编 84.pdf 296.20 MB
│085集部辑佚文献汇编 85.pdf 290.42 MB
│086集部辑佚文献汇编 86.pdf 298.76 MB
│087集部辑佚文献汇编 87.pdf 302.24 MB
└─集部辑佚文献汇编-007 (0 folders, 13 files, 4.01 GB, 4.01 GB in total.)
088集部辑佚文献汇编 88.pdf 310.21 MB
089集部辑佚文献汇编 89.pdf 314.39 MB
090集部辑佚文献汇编 90.pdf 271.08 MB
091集部辑佚文献汇编 91.pdf 297.89 MB
092集部辑佚文献汇编 92.pdf 301.99 MB
093集部辑佚文献汇编 93.pdf 309.04 MB
094集部辑佚文献汇编 94.pdf 299.56 MB
095集部辑佚文献汇编 95.pdf 312.41 MB
096集部辑佚文献汇编 96.pdf 302.20 MB
097集部辑佚文献汇编 97.pdf 377.86 MB
098集部辑佚文献汇编 98.pdf 351.14 MB
099集部辑佚文献汇编 99.pdf 366.93 MB
100集部辑佚文献汇编 100.pdf 286.61 MB

 
 
返回首页
 
 
联系QQ:75689990, 联系QQ:83790508 联系微信:k77815100,联系微信:zx135cn
2025-2035