网罗天下图书 传承中华文明
     
为读者找书,为书找读者.... 本馆宗旨--传承中华文化!
 
联系QQ:75689990, 联系QQ:83790508 联系微信:k77815100,联系微信:zx135cn
 
| 网站首页 | 史料文献 | 提取史料 | 常用软件 | 联系我们 |
 
 

宋藏遗珍

 

介绍


宋藏遗珍(共120册)

特别提示:缺13册

资料编号:KW1050

文件格式:pdf

文件大小:7.48G

作者:上海影印宋版藏经会、北平三时学会

出版社:上海影印宋版藏经会、北平三时学会

出版时间:1935

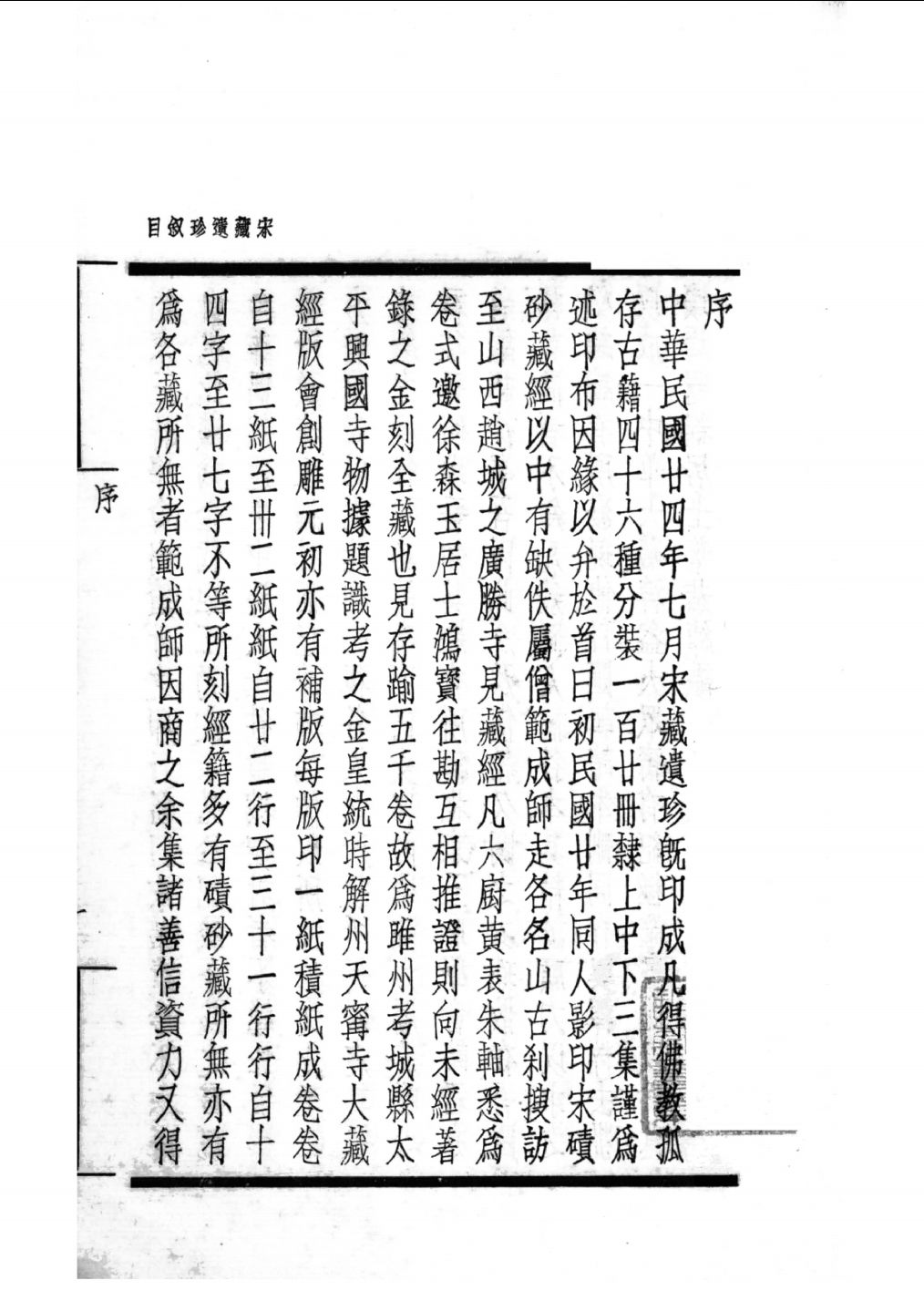
民国二十四年,上海影印宋版藏经会北平三时学会,用赵城广胜寺藏金刊藏经本同景印,总120册

目录介绍如下:

001.大圣文殊师利菩萨佛刹功德庄严经.pdf 140.78 MB
002.宋藏遗珍 02 大方广如来藏经 二经合本.pdf 74.33 MB
003.宋藏遗珍 03 金刚顶降三世大仪轨法王教中观自在菩萨心真言一切如来莲华大曼荼罗品 六经合本.pdf 72.92 MB
004.宋藏遗珍 004 佛说十地经 卷1-3.pdf 131.07 MB
005.宋藏遗珍 005 佛说十地经 卷4-6.pdf 110.54 MB
006.宋藏遗珍 006 佛说十地经 卷7-9.pdf 93.39 MB
007.宋藏遗珍 007 金色童子因缘经 卷1-5.pdf 77.03 MB
008.宋藏遗珍 008 金色童子因缘经 卷6-9.pdf 76.69 MB
009.宋藏遗珍 009 金色童子因缘经 卷10-12.pdf 72.96 MB
010.宋藏遗珍 010 佛说开觉自性般若波罗蜜多经.pdf 96.88 MB
011.宋藏遗珍_011_诸法集要经_卷1-5.pdf 142.49 MB
012.宋藏遗珍_012_诸法集要经_卷6-10.pdf 125.52 MB
013.宋藏遗珍_013_父子合集经_卷1-5.pdf 136.05 MB
014.宋藏遗珍_014_父子合集经_卷6-10.pdf 114.63 MB
015.宋藏遗珍_015_父子合集经_卷11-15.pdf 74.17 MB
016.宋藏遗珍_016_父子合集经_卷16-20.pdf 73.02 MB
017.宋藏遗珍_017_佛说大乘僧伽吒法义经_五经合本.pdf 155.15 MB
018.宋藏遗珍_018_大唐正元续开元录_卷上.pdf 72.73 MB
019.宋藏遗珍_019_大唐正元续开元录_卷中下.pdf 92.77 MB
020.宋藏遗珍_020_御制莲华心轮回文偈颂_卷1-4.pdf 83.93 MB
031.宋藏遗珍_031_双峰山曹侯溪宝林传_卷4-5.pdf 86.71 MB
032_双峰山曹侯溪宝林传_卷6-8.pdf 81.85 MB
033_传灯玉英集_卷2-5.pdf 94.01 MB
034_传灯玉英集_卷6-8.pdf 57.67 MB
035_传灯玉英集_卷10-12.pdf 68.38 MB
036_传灯玉英集_卷14-15.pdf 86.85 MB
037_景佑天竺字源_卷1-2.pdf 24.25 MB
038_景佑天竺字源_卷3.pdf 33.65 MB
039_景佑天竺字源_卷4-5.pdf 44.50 MB
040_景佑天竺字源_卷6-7.pdf 36.60 MB
041_成唯识论述记_1_卷1.pdf 126.20 MB
042_成唯识论述记_2_卷2.pdf 140.99 MB
043_成唯识论述记_3_卷4-7.pdf 145.75 MB
044_成唯识论述记_4_卷8.pdf 107.56 MB
045_成唯识论述记_5_卷9.pdf 97.31 MB
046_成唯识论述记_6_卷10.pdf 94.37 MB
047_成唯识论述记科文_卷1-2.pdf 94.88 MB
048_成唯识论掌中枢要_卷上_1.pdf 64.65 MB
049_成唯识论掌中枢要_卷中_2.pdf 60.80 MB
050_成唯识论掌中枢要_卷下_3.pdf 59.97 MB
051_因明论理门十四过类疏.pdf 30.56 MB
054_因明入正理论疏_卷中_1.pdf 66.78 MB
056_般若波罗蜜多心经幽赞_卷上-阿弥陀经通赞疏_卷下.pdf 80.60 MB
057_妙法莲华经玄赞_卷1_1.pdf 68.76 MB
058_妙法莲华经玄赞_卷3_2.pdf 60.29 MB
059_妙法莲华经玄赞_卷4_3.pdf 68.37 MB
060_瑜伽师地论略纂疏_卷1_1.pdf 40.93 MB
061 瑜伽师地论略纂疏_卷3_2.pdf 37.54 MB
062_瑜伽师地论略纂疏_卷5_3.pdf 42.60 MB
063_瑜伽师地论略纂疏_卷6-9_4.pdf 68.47 MB
064_瑜伽师地论略纂疏_卷10-11_5.pdf 55.03 MB
065_瑜伽师地论略纂疏_卷12_6.pdf 33.48 MB
066_瑜伽师地论略纂疏_卷13_7.pdf 48.22 MB
067_瑜伽师地论略纂疏_卷15_8.pdf 33.86 MB
068_瑜伽师地论义演_卷1_1.pdf 56.65 MB
069_瑜伽师地论义演_卷4_2.pdf 46.92 MB
070_瑜伽师地论义演_卷6_3.pdf 45.57 MB
071_瑜伽师地论义演_卷7_4.pdf 69.60 MB
072_瑜伽师地论义演_卷8_5.pdf 84.71 MB
073_瑜伽师地论义演_卷11_6.pdf 59.63 MB
074_瑜伽师地论义演_卷12_7.pdf 70.40 MB
075_瑜伽师地论义演_卷15_8.pdf 66.19 MB
076_瑜伽师地论义演_卷17_9.pdf 62.98 MB
077_瑜伽师地论义演_卷19_10.pdf 56.88 MB
078_瑜伽师地论义演_卷20_11.pdf 60.52 MB
079_瑜伽师地论义演_卷26_12.pdf 65.15 MB
080 瑜伽师地论义演_卷28_13.pdf 95.59 MB
081_瑜伽师地论义演_卷29_14.pdf 60.06 MB
082_瑜伽师地论义演_卷30-31_15.pdf 61.85 MB
083_瑜伽师地论义演_卷32_16.pdf 48.52 MB
084_瑜伽师地论义演_卷33_17.pdf 56.07 MB
085_瑜伽师地论义演_卷34_18.pdf 57.17 MB
086_瑜伽师地论义演_卷35_19.pdf 51.07 MB
087_瑜伽师地论义演_卷38-40_20.pdf 56.48 MB
088_瑜伽师地论记_卷1_1.pdf 74.60 MB
089_瑜伽师地论记_卷2_2.pdf 63.88 MB
090_瑜伽师地论记_卷5_3.pdf 70.66 MB
091_瑜伽师地论记_卷6_4.pdf 81.70 MB
092_瑜伽师地论记_卷7_5.pdf 65.63 MB
093_瑜伽师地论记_卷9_6.pdf 89.41 MB
094_瑜伽师地论记_卷10_7.pdf 87.81 MB
095_瑜伽师地论记_卷11_8.pdf 75.77 MB
096_瑜伽师地论记_卷12_9.pdf 93.94 MB
097_瑜伽师地论记_卷16_10.pdf 111.42 MB
098_瑜伽师地论记_卷17_11.pdf 125.69 MB
099_瑜伽师地论记_卷19_12.pdf 102.28 MB
100_瑜伽师地论记_卷20_13.pdf 118.87 MB
101_大唐开元释教广品历章_1_卷3-4.pdf 49.01 MB
102_大唐开元释教广品历章_2_卷5-6.pdf 45.37 MB
103_大唐开元释教广品历章_3_卷7-9.pdf 69.54 MB
104_大唐开元释教广品历章_4_卷10-12.pdf 44.78 MB
105_大唐开元释教广品历章_5_卷13-14.pdf 43.41 MB
106_大唐开元释教广品历章_6_卷15-17.pdf 46.61 MB
107_大唐开元释教广品历章_7_卷19-20.pdf 44.55 MB
108_大中祥符法宝录_1_卷3-7.pdf 55.49 MB
109_大中祥符法宝录_2_卷8-11.pdf 40.42 MB
110_大中祥符法宝录_3_卷12-15.pdf 67.39 MB
111_大中祥符法宝录_4_卷16-20.pdf 46.86 MB
112_天圣释教总录_中-下.pdf 44.04 MB
113_景佑新修法宝录_1_卷1-6.pdf 28.06 MB
114_景佑新修法宝录_2_卷8-13.pdf 26.52 MB
115_景佑新修法宝录_3_卷14-17.pdf 26.95 MB
116_景佑新修法宝录_4_卷18-总录.pdf 25.12 MB
117_观弥勒菩萨上生兜率天经疏_卷下.pdf 49.20 MB
118_观弥勒菩萨上生兜率天经疏_卷下.pdf 43.50 MB
119_上生经疏会古通今新抄_卷2_1.pdf 59.11 MB
120_上生经疏会古通今新抄_卷4_2-上生经疏随新抄科文.pdf 46.21 MB

 
 
返回首页
 
 
联系QQ:75689990, 联系QQ:83790508 联系微信:k77815100,联系微信:zx135cn
2025-2035