网罗天下图书 传承中华文明
     
为读者找书,为书找读者.... 本馆宗旨--传承中华文化!
 
联系QQ:75689990, 联系QQ:83790508 联系微信:k77815100,联系微信:zx135cn
 
| 网站首页 | 史料文献 | 提取史料 | 常用软件 | 联系我们 |
 
 

鲁迅全集补遗+鲁迅全集补遗续编

 

介绍


鲁迅全集补遗+鲁迅全集补遗续编(共3册)

资料编号:KW393

文件格式:PDF

文件大小:652M

1.鲁迅全集补遗
著:鲁迅|编:唐弢
Table of contents
一九一二年
古小说抅沉序
一九一四年
藝文雜話
百草書屋劄記
一九一九年

一九二一年
近代捷克文學概觀(捷克凱拉綏克著)
小俄羅斯文學略說(德國凱爾沛來斯著)
一九二三年
觀北京大學學生演劇和燕京女校學生演劇的記(愛羅先珂作)
看了魏建功君的[不敢盲從]以後的幾句聲明
關於[小說世界]
一九二四年
笞二百係笞一百之誤
一九二六年
[走到出版界]的[戰略]
新的世故
一九二七年
關於小說目錄兩件
關於知識階級
關於[近代美術史潮論]
補救世道文件四種
[備考]
甲[樂聞於斯]的來信
乙籌設孔教青年會宣言
丙上海孔教青年會文會緣起
一九二八年
[行路難]
通信
[備考]
偶像與奴才(白露之什第六)
十條罪狀
[備考]曉真來信
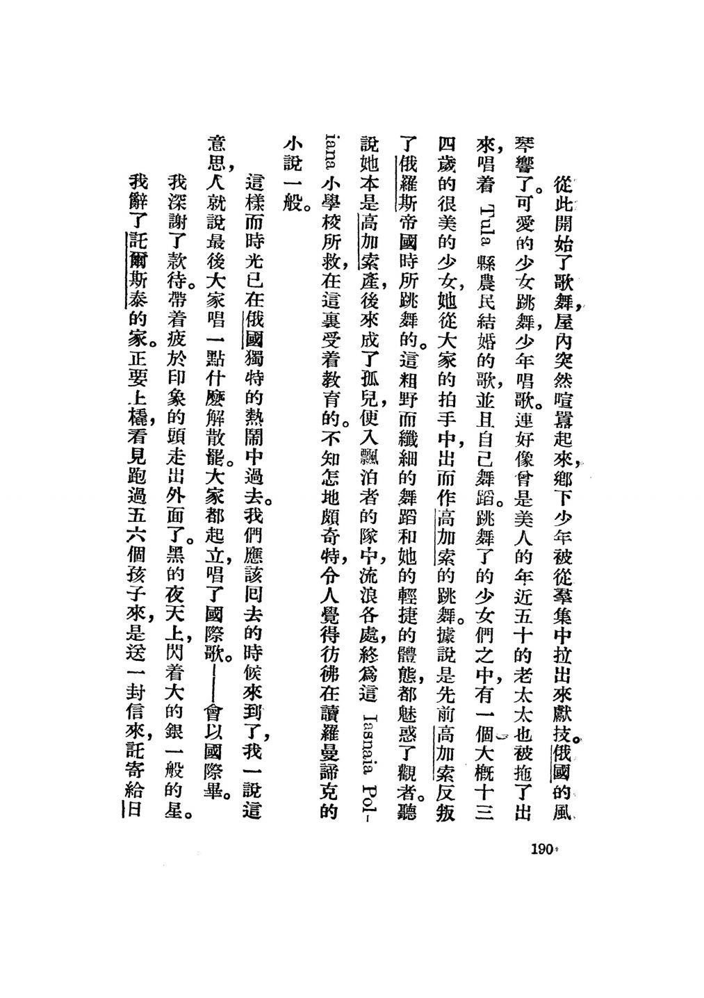
訪革命後的讬爾斯泰故鄉記
一九二九年
致[近代美術史潮論]的讀者諸君
[蕗谷虹兒畫選]譯詩
一九三○年
車勒苪綏夫斯基的文學觀(俄國G.V.蒲力汗諾夫作)
一九三一年
[勇敢的約翰]校後記
一九三二年
[解放了的董·吉珂德]作者傳略](日本尾瀨敬止作)
兩封通信
[備考]猛克來信
我的種痘
辯[文人無行]
關於連環圖畫
海納與革命(法國O·毗哈作)
兒時
一九三四年
我的文學修養(M.高爾基作)
做[雜文]也不易
勢所必至,理有固然

2.鲁迅全集补遗
鲁迅
Table of contents
古小说勾沉序
艺文杂话
百草书屋扎记

近代捷克文学概观
小俄罗斯文学略说
观北京大学学生演剧和燕京女校学生演剧的记
看了魏建功君的「不敢盲从」以后的几句声明
关于「小说世界」
答二百系答一百之误
「走到出版界」的「战略」
新的世故
关于小说目录两件
关于知识阶级
关于「近代美术史潮论」
补救世道文件四种
「行路难」
通信
十条罪状
访革命后的托尔斯泰故乡记
致「近代美术史潮论」的读者诸君
「路谷虹儿画选」译诗
车勒芮绥夫斯基的文学观
「勇敢的约翰」校后记
「士敏土」代序
「解放了的董·吉珂德」作者传略
两封通信
我的种痘
辩「文人无行」
关于连环图画
海纳与革命
儿时
我的文学修养
做「杂文」也不易
势所必至理有固然
附录
俄国的豪杰
敬贺新禧
「文艺研究」例言
士敏土图序
「木刻记程」告白
「山民牧唱」翻译后记
掂斤簸两
几个重要问题
鲁迅先生笔名补遗
读唐弢先生编全集补遗后
编后记

3.鲁迅全集补遗续编
Author 著:鲁迅
Table of contents
一 散稿
一八九八年
戛劍生雜記
蒔花雜志
一九○○年
别諸弟
庚子送灶即事
莲蓬人
一九○一年
惜花四律
祭書神文
别諸弟(並跋)
輓丁耀卿聯
一九○二年
題照贈仲弟
一九○三年
中國地質略論
一九○七年
『红星佚史』譯歌十六篇
一九○八年
裴彖飛詩論
破惡聲論
一九一三年
儗播布美術意見書
謝承後漢書序
藝術翫賞之教育
社會教育與趣味
兒童之好奇心
一九一六年
蜕龛印存序
一九一八年
南齊吕超墓志跋
察羅堵斯德羅緒言
一九一九年
拳術與拳匪
什麽話(三)
『孔乙己』文末附記
『一個青年的夢』譯者序
『一個青年的夢』譯者序
一九二○年
『城外小說集』序
一九二一年
『三浦右衛門的最後』譯後記
『狭的龍』譯者記
『池邊』譯者附記
盲詩人最近時的踪蹟
『春夜的夢』譯後附記
『則皆然』
『魚的悲哀』譯後附記
『一篇很短的傳奇』譯後附記
一九二二年
『憶爱羅先珂華希理君』譯後記
『小雜的悲剧』譯後附記
破『唐人說薈』
一九二三年
關于爱情定則討論的意見
一九二四年
對於『笑話』的笑話
奇怪的日歷
『幸福的家庭』附記
譯『苦悶的象徵』後三日序
文學救國法
『論雷峯塔的倒掉』後記
『觀照享樂的生活』譯文後記
『未有天才之前』講稿前言
『從靈向肉和從肉向靈』譯文前言
一九二五年
鲁迅啟事
編者附白
正誤
『中國小說史略』再版附識
一九二六年
『草界的三魂』文末附記
一九二七年
『絳花洞主』小引
『撒園荽』之旁證
書苑折枝
書苑折枝(二)
書苑折枝(三)
一九二八年
本刊小信
『這回是第三次』案語
關于『近代美術史潮論』插圖
生活的演剧化
編者附白
反對相爱
潘楚基『我也来敲鼓複旦大學』文後附白
通信
『食人人種的話』譯後附記
『農夫』譯者附記
關於劇本的考察
『豎琴』譯後記
開給許世瑛的書单
一九二九年
『十月』譯者識
『託爾斯泰之死與少年歐羅巴』譯後記
謹啟
『論文集『二十年間』第三版序』譯者附記
關於『子見南子』
『放浪者伊利沙闢台』和『跋司珂族的人们』譯後記
編辑後記
一九三○年
『毁滅』第二部一至三章譯者附記
通訊
世界無産階級革命作家對于中國白色恐怖及帝國主義干涉的抗議
一九三一年
鲁迅啟事
被解放的堂·吉訶德
梅令格的『關于文學史』
介紹德国作家版畫展
一九三一年
教授雜詠第四首
『鐵甲列車Nr.14-69』譯本後記
一九三四年
贈『新語林』詩及致『新語林』讀者辭
重印『十竹齋箋譜』說明
一九三五年
『天生蠻性』
中國的科學資料
給『譯文』編者訂正的信
一九三六年
題『凯綏·珂勒惠支版畫選集』贈季茀
對于世界語的意見
附錄
『中國礦産全圖』廣告
『中國礦産志』廣告
『中國礦産志』徵求資料廣告
鲁迅先生的笑話
『苦悶的象徵』廣告
魯迅先生演講
『毁滅』和『铁流』的出版預告
德国作家版畫展舉行真象
第二次全国木刻聯合流動展覽會上的談話
二 中國礦産志

例言
導言
第一章礦産與礦業
第二章地質及礦産之調查者
第三章中國地質之構造
第四章地質之播布
本言
第一章直隸省礦産
第二章山西省鑛産
第三章陕西省鑛産
第四章廿肅省礦産
第五章山東省鑛産
第六章江蘇省礦産
第七章安徽省礦産
第八章河南省鑛産
第九章湖北省礦産
第十章四川省礦産
第十一章江西省礦産
第十二章湖南省礦産
第十三章貴州省礦産
第十四章浙江省礦産
第十五章福建省礦産
第十六章廣東省礦産
第十七章廣西省礦産
第十八章雲南省礦産
三 人生象敩(缺)
緒論
總論
人體之構造第一
人體之成分第二
本論
運動系第一
皮第二
消化系第三
循環系及林巴管系第四
呼吸系第五
泌尿系第六
五官系第七
神經系第八
孽殖系第九
結論
體温第一
代謝第二
通言摄衛第三
生理實驗術要略
四 小說備校
干寶搜神記
搜神後記
十州記
神異經
異苑
王子年拾遺記
洞冥記
鲁迅先生筆名補遺續
重訂鲁迅著譯書目
編校後記

目录介绍如下:

001鲁迅全集补遗 -上.pdf 171.20 MB
002鲁迅全集补遗 -下.pdf 144.64 MB
003鲁迅全集补遗续编.pdf 337.08 MB

 
 
返回首页
 
 
联系QQ:75689990, 联系QQ:83790508 联系微信:k77815100,联系微信:zx135cn
2025-2035