网罗天下图书 传承中华文明
     
为读者找书,为书找读者.... 本馆宗旨--传承中华文化!
 
联系QQ:75689990, 联系QQ:83790508 联系微信:k77815100,联系微信:zx135cn
 
| 网站首页 | 史料文献 | 提取史料 | 常用软件 | 联系我们 |
 
 

汪伪《国民政府公报》

 

介绍


.

汪伪《国民政府公报》-全15册

资料编号:KW1766

文件格式:PDF

文件大小:3.21G

作者:中国第二历史档案馆编

出版机构:江苏古籍出版社

出版时间:1991.08

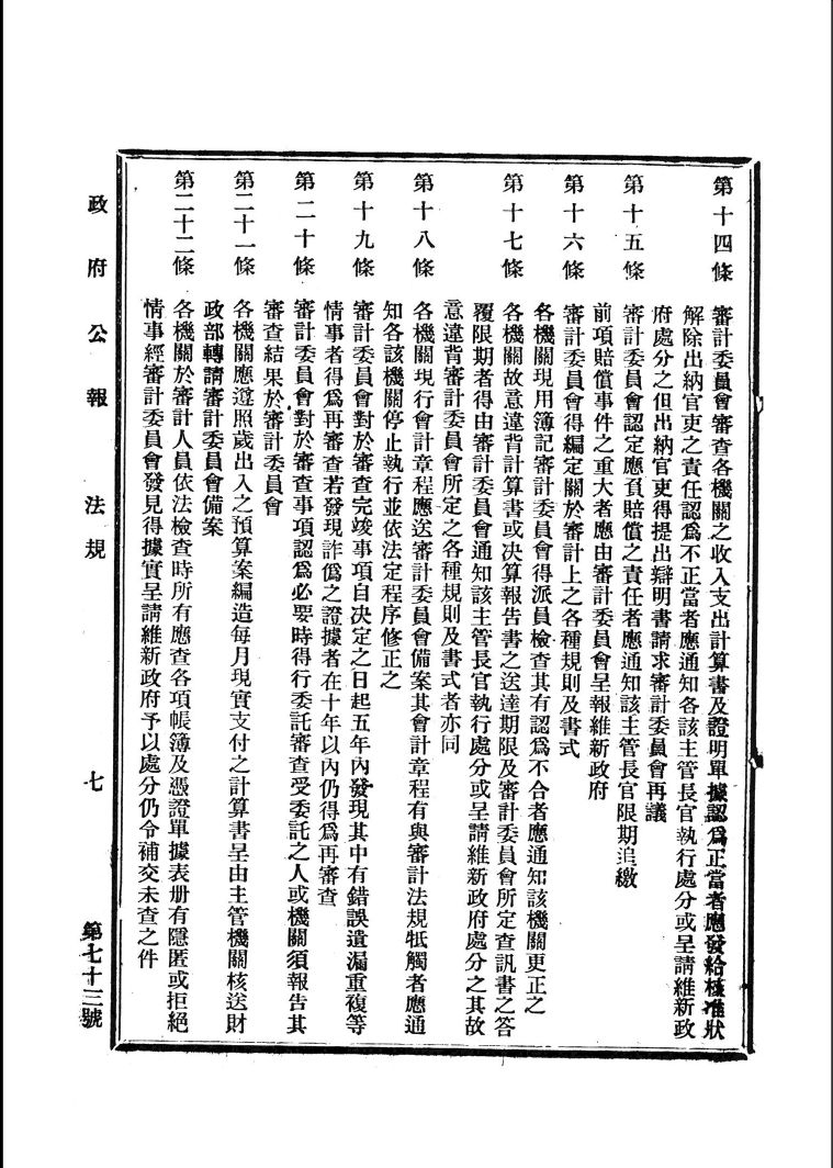
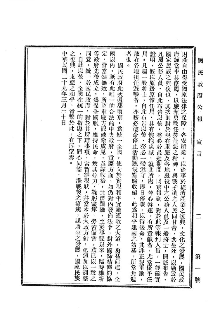
本公报设法律、命令、公文、公电、通告等栏目,刊载了汪伪政府的各项官书,反映了日本侵华战争时期敌占区的政治、经济、军事、外交、文化等各方面的情况。附录为1938.4.11~1940.2.29维新政府的《政府公报》。

目录介绍如下:

001汪伪《国民政府公报》 1.pdf 183.48 MB
002汪伪《国民政府公报》 2.pdf 198.06 MB
003汪伪《国民政府公报》 3.pdf 225.97 MB
004汪伪《国民政府公报》 4.pdf 216.64 MB
005汪伪《国民政府公报》 5.pdf 218.78 MB
006汪伪《国民政府公报》 6.pdf 213.64 MB
007汪伪《国民政府公报》 7.pdf 225.65 MB
008汪伪《国民政府公报》 8.pdf 263.91 MB
009汪伪《国民政府公报》 9.pdf 257.75 MB
010汪伪《国民政府公报》 10.pdf 215.32 MB
011汪伪《国民政府公报》 11.pdf 228.51 MB
012汪伪《国民政府公报》 12.pdf 252.61 MB
013汪伪《国民政府公报》 13.pdf 272.80 MB
014汪伪《国民政府公报》 14.pdf 243.45 MB
015汪伪《国民政府公报》 总目.pdf 73.65 MB

 

 
 
返回首页
 
 
联系QQ:75689990, 联系QQ:83790508 联系微信:k77815100,联系微信:zx135cn
2025-2035