网罗天下图书 传承中华文明
     
为读者找书,为书找读者.... 本馆宗旨--传承中华文化!
 
联系QQ:75689990, 联系QQ:83790508 联系微信:k77815100,联系微信:zx135cn
 
| 网站首页 | 史料文献 | 提取史料 | 常用软件 | 联系我们 |
 
 

国家图书馆藏民国孤本外交档案

 

介绍


国家图书馆藏民国孤本外交档案(全26册)

特别提示:另外带一册详细目录

资料编号:KW1863

文件格式:PDF

文件大小:5.18G

作者:孙学雷,刘家平主编

出版机构:全国图书馆文献缩微复制中心

出版时间:2003

书籍提要:

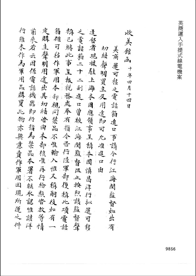
本书收录了国家图书馆藏民国初期涉外铁路、银行、邮电、税务、贸易等方面的案卷百余种。如:《北满铁路交涉案》、《中国加入万国邮会案》、《中美合办无线电台案》等,这些案卷反映了民国初期中外政治、经济、军事、外交、社会的发展情况,为研究这一时期的中外政治、外交关系史、社会经济发展史提供了具体、详实的史料。

目录介绍如下:

├─国家图书馆藏民国孤本外交档案-1 (0 folders, 14 files, 2.65 GB, 2.65 GB in total.)
│000国家图书馆藏民国孤本外交档案目录.pdf 1.01 MB
│001民国孤本外交档案1.pdf 245.78 MB
│002民国孤本外交档案2.pdf 171.22 MB
│003民国孤本外交档案3.pdf 134.74 MB
│004民国孤本外交档案4.pdf 145.90 MB
│005民国孤本外交档案5.pdf 149.63 MB
│006民国孤本外交档案6.pdf 196.89 MB
│007民国孤本外交档案7.pdf 224.36 MB
│008民国孤本外交档案8.pdf 224.13 MB
│009民国孤本外交档案9.pdf 235.27 MB
│010民国孤本外交档案10.pdf 260.13 MB
│011民国孤本外交档案11.pdf 255.72 MB
│012民国孤本外交档案12.pdf 225.68 MB
│013民国孤本外交档案13.pdf 245.17 MB
└─国家图书馆藏民国孤本外交档案-2 (0 folders, 13 files, 2.54 GB, 2.54 GB in total.)
014民国孤本外交档案14.pdf 199.98 MB
015民国孤本外交档案15.pdf 215.99 MB
016民国孤本外交档案16.pdf 229.57 MB
017民国孤本外交档案17.pdf 154.01 MB
018民国孤本外交档案18.pdf 155.89 MB
019民国孤本外交档案19.pdf 166.49 MB
020民国孤本外交档案20.pdf 204.75 MB
021民国孤本外交档案21.pdf 250.04 MB
022民国孤本外交档案22.pdf 246.86 MB
023民国孤本外交档案23.pdf 251.99 MB
024民国孤本外交档案24.pdf 164.47 MB
025民国孤本外交档案25.pdf 145.83 MB
026民国孤本外交档案26.pdf 211.87 MB


 
 
返回首页
 
 
联系QQ:75689990, 联系QQ:83790508 联系微信:k77815100,联系微信:zx135cn
2025-2035