网罗天下图书 传承中华文明
     
为读者找书,为书找读者.... 本馆宗旨--传承中华文化!
 
联系QQ:75689990, 联系QQ:83790508 联系微信:k77815100,联系微信:zx135cn
 
| 网站首页 | 史料文献 | 提取史料 | 常用软件 | 联系我们 |
 
 

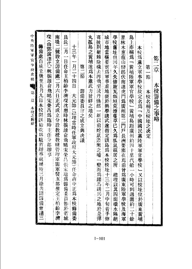
黄埔军校史稿

 

介绍

 

黄埔军校史稿(共12册)

资料编号:KW3519

文件格式:PDF

文件大小:2.38G

作者:中国第二历史档案馆供稿

出版机构:档案出版社

出版时间:1989

目录介绍如下:

01黄埔军校史稿 第1册_10383773.pdf 145.57 MB
02黄埔军校史稿 第2册_10383776.pdf 129.07 MB
03黄埔军校史稿 第3册_10383777.pdf 151.91 MB
04黄埔军校史稿 第4册_10383778.pdf 141.00 MB
05黄埔军校史稿 第5册_10383779.pdf 243.15 MB
06黄埔军校史稿 第6册_10383780.pdf 225.90 MB
07黄埔军校史稿 第7册_10383781.pdf 257.08 MB
08黄埔军校史稿 第8册_10383782.pdf 192.10 MB
09黄埔军校史稿 第9册_10383768.pdf 232.57 MB
10黄埔军校史稿 第10册_10005240.pdf 294.49 MB
11黄埔军校史稿 第11册_10383774.pdf 216.70 MB
12黄埔军校史稿 第12册_10383775.pdf 209.20 MB

 
 
返回首页
 
 
联系QQ:75689990, 联系QQ:83790508 联系微信:k77815100,联系微信:zx135cn
2025-2035