网罗天下图书 传承中华文明
     
为读者找书,为书找读者.... 本馆宗旨--传承中华文化!
 
联系QQ:75689990, 联系QQ:83790508 联系微信:k77815100,联系微信:zx135cn
 
| 网站首页 | 史料文献 | 提取史料 | 常用软件 | 联系我们 |
 
 

民国时期出版史料汇编

 

介绍

 

民国时期出版史料汇编(共22册)

资料编号:KW3724

文件格式:PDF

文件大小:4.09G

作者:吴永贵编

出版社:国家图书馆出版社

出版时间:2013

详细描述:

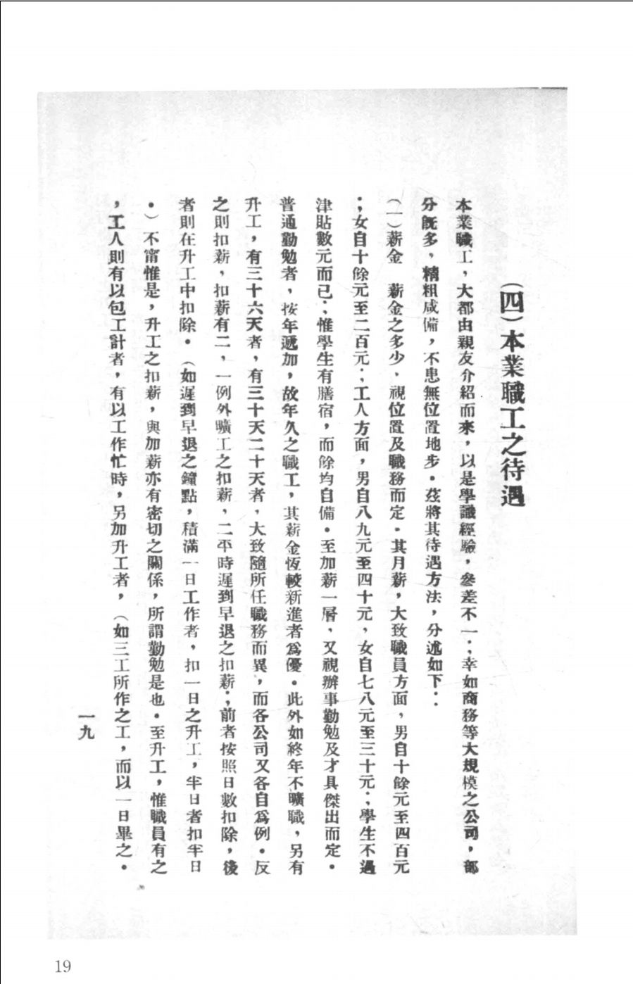
本书系统地收录民国时期各种出版史料122种,主要分为以下几类:(一)出版机构史料,包括商务印书馆、中华书局、世界书局、大东书局、开明书店这五大出版社的史料,以及全国各地另外36家出版机构的史料;(二)出版概况及研究,包括《中国出版界简史》《书业概况》《儿童读物的研究》等著作;(三)出版法规与出版管理;(四)书业公会史料;(五)印刷及纸业史料;(六)出版类刊物;(七)出版物目录。

目录介绍如下:

01民国时期出版史料汇编 第一册_13856975.pdf 212.80 MB
02民国时期出版史料汇编 第二册_13956092.pdf 115.98 MB
03民国时期出版史料汇编 第三册_13956093.pdf 163.74 MB
04民国时期出版史料汇编 第四册_13956094.pdf 162.54 MB
05民国时期出版史料汇编 第五册_13956095.pdf 138.49 MB
06民国时期出版史料汇编 第六册_13956096.pdf 199.79 MB
07民国时期出版史料汇编 第七册_13956097.pdf 207.86 MB
08民国时期出版史料汇编 第八册_13956098.pdf 198.61 MB
09民国时期出版史料汇编 第九册_13956099.pdf 224.36 MB
10民国时期出版史料汇编 第十册_13956100.pdf 192.90 MB
11民国时期出版史料汇编 第十一册_13956101.pdf 215.36 MB
12民国时期出版史料汇编 第十二册_13956102.pdf 176.42 MB
13民国时期出版史料汇编 第十三册_13956103.pdf 182.51 MB
14民国时期出版史料汇编 第十四册_13956104.pdf 173.60 MB
15民国时期出版史料汇编 第十五册_13956105.pdf 183.21 MB
16民国时期出版史料汇编 第十六册_13956106.pdf 186.24 MB
17民国时期出版史料汇编 第十七册_13956107.pdf 220.29 MB
18民国时期出版史料汇编 第十八册_13956108.pdf 158.42 MB
19民国时期出版史料汇编 第十九册_13956109.pdf 209.04 MB
20民国时期出版史料汇编 第二十册_13956110.pdf 199.26 MB
21民国时期出版史料汇编 第二十一册_13956111.pdf 244.98 MB
22民国时期出版史料汇编 第二十二册_13956112.pdf 223.68 MB

 
 
返回首页
 
 
联系QQ:75689990, 联系QQ:83790508 联系微信:k77815100,联系微信:zx135cn
2025-2035