网罗天下图书 传承中华文明
     
为读者找书,为书找读者.... 本馆宗旨--传承中华文化!
 
联系QQ:75689990, 联系QQ:83790508 联系微信:k77815100,联系微信:zx135cn
 
| 网站首页 | 史料文献 | 提取史料 | 常用软件 | 联系我们 |
 
 

纪晓岚删定四库全书总目稿本

 

介绍

 

纪晓岚删定四库全书总目稿本(共9册)

资料编号:KW4709

文件格式:PDF

文件大小:4.16G

作者:永瑢 等撰

出版社:国家图书馆出版社

出版时间:2011

内容简介编辑

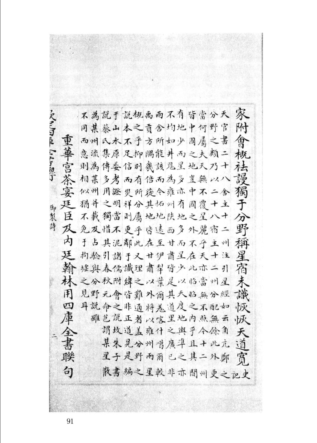
本书据天津图书馆所藏《四库全书总目》残存稿本影印。这是纪晓岚亲笔删定的稿本,存七十一卷并卷首、凡例、目录等。书稿上多有纪晓岚对《总目》所著录条目的书名、巻数、撰者、版本、分类、一书位置及避讳问题等内容所做的修改、删定笔迹,或用墨笔在原文上进行删改,或在眉端题写批语,还有将书页裁割贴补移位者。

目录介绍如下:

001纪晓岚删定《四库全书总目》稿本 1_12858623.pdf 639.50 MB
002纪晓岚删定《四库全书总目》稿本 2_12858624.pdf 519.77 MB
003纪晓岚删定《四库全书总目》稿本 3_12858625.pdf 558.38 MB
004纪晓岚删定《四库全书总目》稿本 4_12858626.pdf 349.00 MB
005纪晓岚删定《四库全书总目》稿本 5_12858627.pdf 467.71 MB
006纪晓岚删定《四库全书总目》稿本 6_12858628.pdf 487.71 MB
007纪晓岚删定《四库全书总目》稿本 7_12858629.pdf 376.63 MB
008纪晓岚删定《四库全书总目》稿本 8_12858630.pdf 472.69 MB
009纪晓岚删定《四库全书总目》稿本 9_12858631.pdf 385.83 MB

 
 
返回首页
 
 
联系QQ:75689990, 联系QQ:83790508 联系微信:k77815100,联系微信:zx135cn
2025-2035